网站首页  词典首页

请输入您要查询的字词:

 

字词 联邦机构房产抵押贷款证券
类别 中英文字词句释义及详细解析
释义

联邦机构房产抵押贷款证券


房地产支持证券是由一个房产抵押贷款池(集合)支持的证券。住宅或商用房产抵押贷款可被用作这种证券的抵押物。由住宅抵押贷款支持的房地产证券包括房产抵押贷款过手证券、本息拆离房产抵押贷款证券和分级偿还房产抵押贷款证券。我们综合称这些证券为房产抵押贷款证券(MBS)。在本章中,我们将描述由政府国民房产抵押贷款协会(吉尼·美)、联邦国民房产抵押贷款协会(凡尼·美)和联邦住宅贷款房产抵押公司(弗莱迪·麦克)发行的证券。由于本章后面将要描述的原因,这些证券被称为联邦机构MBS。在下一章中,我们将描述非由这三家主体之一发行的MBS。第十六章讨论了由商用房产抵押贷款支持的MBS。

为何理解房地产支持证券是重要的

美国房产抵押贷款市场是全球最大的债务市场。美国房产抵押贷款市场的一个重大创新是借款人可以选择的各种房产抵押贷款设计的发展。(我们将在本章后面讨论住宅抵押贷款的主要设计。)无论房产抵押贷款的设计是何种类型的,作为一项独立的投资,房产抵押贷款通常具有对机构和零售投资者而言都不具有吸引力的特征。从投资者的角度来看,房产抵押贷款市场的主要创新是由房地产抵押贷款支持的证券的发展-房产抵押贷款证券,或更广义的房地产支持证券。在本章和接下来的两章中,我们将讨论这些证券。

一个基准或“目标”为覆盖面广泛的债券市场指数的管理资金的投资者必须熟悉这些证券,因为它们代表了投资级债券市场(即评级至少为BBB-级的债券的市场)的主要组成部分。为了看到这点,让我们考虑机构投资者跟踪的一个最受欢迎的债券指数——雷曼兄弟公司的美国综合指数。该指数仅包含投资级债券,并由六个领域组成:财政债券、联邦机构债券、房产抵押贷款过手证券、商用房产抵押贷款证券、资产支持证券和信用领域。房产抵押贷款过手证券领域包含由吉尼·美、凡尼·美或弗莱迪·麦克担保的证券。我们将在本章后面描述这些证券,它们代表了指数中最大的领域,占36%左右。在房产抵押贷款过手证券领域之外增加的2%左右的商用房产抵押贷款支持证券,使雷曼兄弟综合指数中的房地产支持证券成分上升至38%左右。

雷曼兄弟公司将“房产抵押贷款领域”定义为由房产抵押贷款过手证券领域和商用房产抵押贷款证券领域组成。然而,我们还必须添加另一个房地产成分:抵押物为住宅抵押贷款的资产支持证券(ABS)。资产支持证券领域占指数的2%,并包含由房地产和非房地产资产支持的证券。大约25%的ABS领域是由住宅房地产抵押贷款支持的——具体而言,为住宅产权贷款ABS和制造式住宅ABS,下一章描述了这些产品。

因此,希望构建一个与雷曼兄弟综合指数之特征相匹配的核心投资组合的债券投资组合经理,必须理解房地产支持证券。而且,在构建投资组合时,为了使收益率高于指数,投资组合经理将偏离指数的特征。尽管主动型投资经理可以采用多种策略,但其中一个策略是寻找未被包含在指数中、却预期可以超过指数中证券之表现的证券。在房地产支持证券中存在可以采取这种策略的机会。我们可以通过联邦机构发行的使投资者暴露于极低的信用风险中的证券做到这点,它们被称为联邦机构分级偿还房产抵押贷款证券。我们将在本章中描述它们。此外,还有民间主体发行的证券,它们为愿意接受信用风险的投资者提供了提高收益率的机会,下一章描述了这些证券。

我们说明的要旨是:一位希望构建核心投资组合、但不熟悉房地产支持证券的债券投资组合经理将处于竞争劣势。此外,不熟悉房地产支持证券的投资组合经理还可能会错失利用指数中未包含的产品提高收益率的机会。

房产抵押贷款

我们从房产抵押贷款证券的原材料——房产抵押贷款——开始我们的讨论。房产抵押贷款是由某项具体的房地产抵押物担保的贷款,它要求借款人支付一系列预定的还款。房产抵押贷款赋予了贷款人在借款人违约(即不能支付合同约定的还款)时“没收”贷款抵押物并查封房地产以确保债务清偿的权利。房产抵押贷款的利率被称为房产抵押贷款利率或合同利率。我们讨论的重点是住宅抵押贷款。

一个希望借取资金购买住宅的个人会向房产抵押贷款发起人申请贷款。寻求资金的个人会填写一份提供个人财务信息的申请表,并支付一笔申请费。接着,房产抵押贷款发起人对申请人进行信用评估。两个决定是否发放贷款的主要因素是:(1)还款/收入(PTI)比率,和(2)贷款/房价(LTV)比率。前者是月还款与月收入的比率,它测量了申请人支付月还款(房产抵押贷款和房地产税款)的能力。这个比率越低,申请人能够履行还款义务的可能性就越大。

LTV是贷款额与房产的市场(或评估)价值的比率。这个比率越低,在申请人对还款违约并且贷款人必须没收和出售房产的情况下,贷款人拥有的保护就越大。例如,假如申请人希望为评估价值为$20万的房产借取$15万,那么LTV为75%。假设申请人随后对房产抵押贷款违约。于是,贷款人可以没收并出售房产以回收借款额。但贷款人获得的金额取决于房产的市场价值。在我们的例子中,即使住宅市场的状况疲软,贷款人在房产价值下跌$5万的情况下还是能回收贷款。假设申请人希望为相同的房产借取$18万。LTV将为90%。假如贷款人不得不因申请人违约而出售房产,那么贷款人拥有的保护将会较弱。

当贷款人基于借款人的信用和房产抵押贷款的抵押物发放贷款时,房产抵押贷款被称为传统房产抵押贷款。贷款人还可能会采用房产抵押贷款保险以担保借款人债务的履行。一些借款人可以符合房产抵押贷款保险的条件,它是由三家美国政府机构之一担保的:联邦住宅管理局(FHA)、退役军人管理局(VA)和乡村住宅服务局(RHS)。此外还有民间房产抵押贷款保险商。

美国有多种类型的房产抵押贷款设计。房产抵押贷款设计是对利率、房产抵押贷款期限和借款偿还方式的规定。我们将在这里讨论三种主要的设计。在理解了这些房产抵押贷款的特征后,我们就可以理解由房产抵押贷款支持的证券。

固定利率、等额还款、完全摊还的房产抵押贷款

固定利率、等额还款、完全摊还的房产抵押贷款设计背后的基本思路是:借款人在一个协定的时期内(叫做房产抵押贷款的期限)用等额的分期还款支付利息和偿还本金。还款频率通常为每月一次。这种房产抵押贷款设计的每笔月还款在每月的第一日到期,并由下列项数组成:

1.相当于年利率的1/12与前一个月的月初未偿房产抵押贷款余额的乘积的利息,以及

2.未偿房产抵押贷款余额(本金)的部分还款。

每月的房产抵押贷款还款与代表利息的还款部分的差额等于用以降低未偿贷款余额的金额。月还款的设计使得在贷款的最后一笔预定月还款得以支付后,未偿贷款余额等于零(也就是说,房产抵押贷款被完全偿还或摊还)。

为了说明这种房产抵押贷款设计,让我们考虑房产抵押贷款利率为8.125%的30年期(360个月期)$10万房产抵押贷款。每月的还款额为$742.50。表14.1显示了在某些特定月份中,每月的贷款还款是如何被分割为利息和本金还款的。在第1个月初,房产抵押贷款的余额为$10万,即贷款的原始金额。第1个月的还款包含当月借取的$10万的利息。由于利率为8.125%,月利率为0.0067708(0.08125除以12)。因此,第1个月的利息为$677.08($10万乘以0.0067708)。月还款$742.50与利息$677.08的差额$65.42是代表本金还款的月还款部分。第1个月的$65.42降低了房产抵押贷款余额。注意,第360个月的最后一笔还款足以清偿剩余的房产抵押贷款余额。

表14.1 固定利率、等额还款、完全摊还的房产抵押贷款的摊还计划

房产抵押贷款:$10万

房产抵押贷款利率:8.125%

月还款:$742.50

贷款期限:30年(360个月)

正如表14.1清晰地显示的那样,用于支付利息的月还款部分逐月下降,而用于降低房产抵押贷款余额的部分则逐月上升。其原因是:由于房产抵押贷款余额随着每月的还款下降,房产抵押贷款余额的利息也会下降。由于每月的还款是固定的,越来越大的月还款部分将被用以减少下一个月的本金。

借款人每月支付的还款不是投资者所获得的金额。这是由于房产抵押贷款必须被加以维持。维持费为房产抵押贷款利率的一个比例。假如房产抵押贷款利率为8.125%并且维持费为50个基点,那么投资者将获得7.625%的利息。投资者获取的利率被称为净利息或净息票。

提前还款和现金流的不确定性

我们的固定利率、等额还款、完全摊还的房产抵押贷款的现金流的例子,假设了借款人不在预定的到期日前偿还贷款余额的任何部分。但一些业主确实会在到期日前偿还全部或部分房产抵押贷款余额。超过预定本金还款的还款被称为提前还款。我们将在后面讨论影响提前还款的因素。

提前还款的效果是:房产抵押贷款现金流的金额和发生时间不是确定已知的。这种风险被称为提前还款风险。例如,一笔$10万、8.125%的30年期房产抵押贷款的投资者所知道的全部信息是:只要贷款仍然未偿并且借款人不违约,那么他将在每月的预定日期获得利息和本金还款。在30年末,投资者将获得$10万的本金还款。投资者不知道的——不确定性——是贷款的未偿时间将有多长,从而本金还款将在何时发生。不仅是固定利率、等额还款、完全摊还的房产抵押贷款,所有房产抵押贷款都是如此。

大多数未偿房产抵押贷款都不对借款人提前偿还部分或全部未偿贷款余额施以罚金。在最近数年中,贷款人已发起了提前还款罚金房产抵押贷款(PPM)。PPM有一个叫做“封锁期”的特定时期,在这段时期内,超过特定金额的部分提前还款将会导致提前还款罚金。(因房产出售引起的提前还款无需缴纳罚金;只有主动的提前还款才会受到惩罚。)在封锁期后,提前还款无需缴纳罚金。PPM的动机是:它在封锁期内降低了贷款人的提前还款风险。它通过有效地提高借款人为利用房产抵押贷款利率的下降而提前还款的成本达到了这个目的。为了换取这种提前还款风险的下降,贷款人提供的房产抵押贷款利率将低于无提前还款罚金的同类房产抵押贷款的利率。

可调利率房产抵押贷款

正如其名称所隐含的那样,可调利率房产抵押贷款(ARM)具有可调或浮动的息票,而不是固定息票。息票定期调整——每月、每半年或每年一次。一些ARM的息票甚至每三年或每五年调整一次。ARM的息票公式是用参考利率加一个利差报价规定的。利差通常为2%至3%。

在房产抵押贷款发起时,它通常在一个初始时期(引逗期)内具有一个略低于息票公式所规定的利率的初始利率。这被称为“引逗利率”,它使首次购房者更易满足贷款条件。在引逗期末,贷款利率在息票公式的基础上被加以重设。一旦贷款度过引逗期并基于息票公式重设后,我们称贷款完全与指标挂钩。

为了保护业主免受利率冲击,息票调整水平设有上限。上限有定期上限和终生上限。定期上限限制了息票从一个重设期至下一个重设期的上调或下调幅度。终生上限是息票率在整个贷款期限内可以达到的最高绝对水平。

描述ARM所需利用的属性有引逗利率、引逗期、指标、利差、重设频率、定期上限和终生上限。例如,一种“具有2/12上限的6%一年期CMT+3%ARM”意味着贷款在第一年具有6%的息票。第二年的息票将在年度付息日重设为1年期CMT指标利率加3%,但受到2%的定期上限和12%的终生上限的限制。假如当前的CMT利率为4.8%,息票将被简单地重设为7.8%(4.8%+3%)。假如当前的CMT利率为5.5%,那么息票将仅重设为8%(而不是5.5%+3%),因为2%的定期上限仅允许息票率在相邻时期内最多变化(正负)2%。12%的终生上限在贷款期限内将息票限制在12%以内。

人们已对ARM应用了两种类型的指标:(1)由市场决定的利率,以及(2)人们计算的储蓄机构资金成本。指标对ARM的表现及其价值具有重要影响。最常用的由市场决定的利率是1年期、3年期或5年期固定期限财政债券利率(CMT)、3个月期或6个月期伦敦同业拆放利率(LIBOR)和6个月期CD利率。

储蓄机构的资金成本指标是基于储蓄机构每月的加权平均负债利息成本计算的。最受欢迎的是联邦住宅贷款银行委员会第十一区资金成本指标(COFI)。大约25%的ARM是与这个参考利率挂钩的。第十一区包括加利福尼亚州、亚利桑那州和内华达州。资金成本是通过先计算第十一区包含的所有储蓄机构的月利息费用得出的。这些利息费用被相加起来,然后除以月初和月末的平均余额。指标值是滞后一个月报告的。例如,6月份的第十一区COFI是在7月份报告的。以第十一区COFI为基础的房产抵押贷款利率通常是基于前一个月报告的指标利率重设的。例如,假如重设日为8月份,那么7月份报告的指标利率将被用以设定房产抵押贷款利率。因此,在房产抵押贷款利率反映平均资金成本前有两个月的时滞。当利率上升时,这显然对借款人有利,并对投资者不利。当利率下降时,相反情况成立。

其次最受欢迎的指标是全国资金成本指标,它覆盖了所有的联邦住宅贷款银行地区。第三种类型是基于市场利率计算的指标。一个例子是1年期财政票据利率的12个月移动平均。

气球房产抵押贷款

在气球房产抵押贷款中,贷款向借款人提供了长期融资,但双方会在指定的未来日期重新协商合同利率。因此,贷款人为实质上的短期借款提供了长期资金,借款的短期程度取决于再协商的频率。事实上,这是贷款人同意在房产抵押贷款的剩余期限内提供融资的短期气球贷款。气球还款为原始借款额减去摊还额。因此,在气球房产抵押贷款中,实际期限比既定的期限短。

房产抵押贷款过手证券

房产抵押贷款投资使投资者暴露于违约风险和提前还款风险中。一个更有效的方法是投资于房产抵押贷款过手证券。这是当一家或多家房产抵押贷款持有人组建房产抵押贷款池(集合)、并出售贷款池的份额或参与凭证时创建的证券。贷款池可能由数千笔房产抵押贷款组成,也可能仅由数笔贷款组成。当房产抵押贷款被包含在用作房产抵押贷款过手证券的抵押物的房产抵押贷款池中时,我们称房产抵押贷款被证券化了。

房产抵押贷款过手证券的现金流依赖于基础房产抵押贷款的现金流。现金流由代表利息、预定本金还款和贷款池中所有房产抵押贷款的提前还款的月还款组成。

还款是每月向证券持有者支付的。然而,房产抵押贷款池现金流的金额和发生时间都不完全等同于被传递至投资者的现金流。过手证券每月的现金流小于基础房产抵押贷款的月现金流,差额等于维持费和其他费用。其他费用是过手证券的发行者或担保人为担保证券收取的费用。过手证券的息票率低于基础房产抵押贷款池的房产抵押贷款利率,差额等于维持费和担保费。因此,假如发行者发行了1万份凭证,那么在调整所有费用后,一份凭证的持有者将有权获得1/10000的房产抵押贷款池现金流。

现金流的发生时间也有所不同。贷款的月还款应由每个抵押贷款人在每月的第一日支付,但在将相应的月现金流传递至证券持有者前有一个延迟期。延迟期的长度根据过手证券的类型各不相同。

证券化的房产抵押贷款池所包含的房产抵押贷款并非都具有相同的房产抵押贷款利率和期限。因此,我们在描述过手证券时,需要确定加权平均息票率和加权平均期限。加权平均息票率(WAC)是通过用未偿房产抵押贷款余额加权每笔房产抵押贷款的利率得出的。加权平均期限(WAM)是通过用未偿房产抵押贷款余额加权贷款池中每笔房产抵押贷款的剩余期限月数得出的。

房产抵押贷款过手证券的其他特征根据发行者各有不同。过手证券的主要特征将对其投资特征(尤其是其提前还款特征)具有影响。这些一般特征是:(1)担保的类型,(2)贷款的抵押设计,以及(3)贷款池中房产抵押贷款的特征。

联邦机构过手证券

房产抵押贷款过手证券被划分为政府国民房产抵押贷款协会(吉尼·美)、联邦国民房产抵押贷款协会(凡尼·美)、联邦住宅贷款房产抵押贷款公司(弗莱迪·麦克)和民间主体发行的房产抵押贷款过手证券。前三者是我们在第九章中描述的联邦机构。吉尼·美是与联邦相关的机构,而凡尼·美和弗莱迪·麦克是政府发起的企业(GSE)。

市场中有数种称呼这些主体发行的房产抵押贷款过手证券的惯例。一些市场参与者简单地称之为“联邦机构过手证券”。其他市场参与者称吉尼·美发行的房产抵押贷款过手证券为“联邦机构过手证券”,而称两家GSE发行的证券为“传统过手证券”,并称所有三者为“联邦机构/传统过手证券”。在本章中,吉尼·美、凡尼·美和弗莱迪·麦克发行的房产抵押贷款过手证券将被称为联邦机构过手证券。

为了将房产抵押贷款包含在作为联邦机构过手证券抵押物的房产抵押贷款池中,贷款必须符合联邦机构所设定的标准。这些标准被称为“承购标准”,下一章对此进行了讨论。符合承购标准的房产抵押贷款被称为“达标贷款”,而不符合承购标准的贷款显然被称为“非达标贷款”。下一章讨论了不同类型的非达标贷款。

民间主体是非联邦机构的房产抵押贷款过手证券发行者。它们包括商业银行、储蓄和贷款协会、投资银行、贷款公司和房产抵押贷款公司。民间主体发行的房产抵押贷款过手证券被称为“非联邦机构过手证券”。支持非联邦机构过手证券的房产抵押贷款为非达标贷款。

违约风险

吉尼·美过手证券——被称为吉尼·美房产抵押贷款过手证券(MBS)——是由美国政府的完全承诺和信用担保的。也就是说,即使借款人对其贷款违约,投资者也将在到期时按时获得本息还款。因此,与财政证券一样,吉尼·美MBS在违约风险方面被看作是无风险的。

由于凡尼·美和弗莱迪·麦克是GSE,它们发行的房产抵押贷款过手证券不具有美国政府的完全承诺和信用的担保。然而,市场参与者认为其房产抵押贷款过手证券的信用风险极低。凡尼·美发行的过手证券——叫做凡尼·美房产抵押贷款证券(MBS)——在本息的按时支付方面是具有担保的。弗莱迪·麦克过手证券——叫做弗莱迪·麦克参与凭证(PC)——可以具有两种担保之一。一种担保是由弗莱迪·麦克担保利息的按时支付和本金的最终偿还。“最终”是指到期本金将在归集时被加以偿付,但无论在何种情形中都不会晚于一年以后。第二种类型的担保是由弗莱迪·麦克担保本金和利息的按时支付,该机构称之为黄金计划。弗莱迪·麦克如今仅发行黄金PC。

由于吉尼·美、凡尼·美和弗莱迪·麦克提供的担保,因违约导致的本金还款被报告为提前还款。对非联邦机构过手证券而言,它们不具有直接或隐含的政府担保。相反,希望发行房产抵押贷款证券的民间主体必须为证券进行信用增级。下一章解释了(内部和外部)信用增级的机制。

提前还款惯例和现金流

由于提前还款,房产抵押贷款过手证券的现金流是未知的。预测现金流的惟一方法是对在基础房产抵押贷款池期限内的提前还款率作出一些假设。提前还款率有时被称为速度。市场已将两个惯例用作提前还款率的基准:条件提前还款率和公共证券协会提前还款基准。

条件提前还款率

预测过手证券的提前还款和现金流的一个惯例是假设在房产抵押贷款的剩余期限内,贷款池的一部分剩余本金每月都被加以提前偿还。贷款池的假设提前还款率(叫做条件提前还款率,CPR)是以贷款池的特征(包括其历史提前还款经验)和当前及预期的未来经济环境为基础的。

CPR是一个年提前还款率。为了估计每月的提前还款,CPR必须被转换为月提前还款率,这通常被称为单月清偿率(SMM)。我们可以用一则公式在给定CPR的情况下确定SMM:

SMM=1-(1-CPR)1/12

假设用以估计提前还款的CPR为6%。相应的SMM为:

SMM=1-(1-0.06)1/12=1-(0.94)0.08333=0.005143

w%的SMM意味着大约w%的月初房产抵押贷款余额与预定本金还款的差额将在当月被提前偿还。也就是说,

第t个月的提前还款=SMM×(第t个月的月初房产抵押贷款余额

-第t个月的预定本金还款)

例如,假设一位投资者拥有月初贷款余额为$2.9亿的过手证券。假设SMM为0.5143%,预定本金还款为$300万,那么当月的提前还款估计为:

0.005143×($29000万-$300万)=$1476041

PSA提前还款基准

公共证券协会(PSA)提前还款基准是用一个月CPR序列表达的。PSA基准假设新发起的房产抵押贷款提前还款率较低,然后会随着房产抵押贷款的老化而加速。

PSA基准假设30年期房产抵押贷款的提前还款率如下:

1.第一个月的CPR为0.2%,并在接下来的30个月内每月上升0.2%/年,直至达到6%/年,

2.在剩余年数内为6%CPR。

这个基准被称为“100%PSA”,或“100PSA”,它在数学上被表达为:

假如t≤30,CPR=6%t/30

假如t>30,CPR=6%

其中,t为自房产抵押贷款发起后的月数。

更慢或更快的速度被表达为PSA的某个百分比。例如,50PSA意味着PSA基准提前还款率的CPR的一半;150PSA意味着PSA基准提前还款率的CPR的1.5倍;300PSA意味着基准提前还款率的CPR的3倍。0PSA的提前还款率意味着我们假设无提前还款。

CPR是用以上给出的公式转换成SMM的。例如,假设提前还款率为165PSA,房产抵押贷款发起后的第20个月的SMM被计算为:

CPR=6%(20/30)=4%=0.04

165PSA=1.65(0.04)=0.066

SMM=1-(1=0.066)11/2=0.005674

注意,在165PSA假设下的SMM不仅仅是100PSA假设下的SMM的1.65倍。CPR是100PSA假设下的CPR的倍数。

在第31个月至第360个月期间,在100PSA假设下的CPR为6%,在165PSA假设下的每月的CPR和SMM为

165PSA=1.65(0.06)=0.099

SMM=1-(1-0.099)1/12=0.00865

月现金流构建的说明

现在,我们说明如何在给定一个PSA假设的情况下,构建虚拟过手证券的月现金流。为便于这项说明,我们假设该虚拟过手证券的基础房产抵押贷款是加权平均息票率(WAC)为8.125%的固定利率、等额还款、完全摊还的房产抵押贷款。我们将假设过手利率为7.5%,加权平均期限(WAM)为357个月。

表14.2显示了在165PSA的假设下,特定月份的现金流。现金流被分解为三个成分:(1)(基于过手利率的)利息,(2)常规的预定本金还款,以及(3)基于165PSA的提前还款。

表14.2 在165PSA的假设下,过手利率为7.5%、WAC为8.125%、WAM为357个月的$4亿过手证券的月现金流

注意:由于WAM为357个月,基础房产抵押贷款池的账龄平均为3个月,因此,第27个月的CPR为1.65×6%。

第(2)栏给出了月初的未偿房产抵押贷款余额。它等于前一个月初的未偿余额减去上月的本金还款总额。第(3)栏显示了165PSA假设下的SMM。我们应该注意此栏中的两个事项。首先,在第1个月,SMM为账龄为3个月的过手证券的SMM,因为WAM为357。第(4)栏显示了房产抵押贷款的月还款总额。注意,随着提前还款降低未偿贷款余额,月还款总额将会逐渐下降。有一个公式可以在给定提前还款的情况下确定每月的月贷款余额,但我们不在这里提供这个公式。第(6)栏给出了常规的预定本金还款。这是月还款总额[第(4)栏显示的金额]与当月的毛息票利息之差。毛息票利息为8.125%乘以月初的未偿贷款余额,再除以12。

第(7)栏报告了当月的提前还款。提前还款是利用以上给出的公式得出的。例如,在第100个月,月初贷款余额为$170142350,预定本金还款为$244953,在165PSA假设下的SMM为0.00865。因此,提前还款为:

0.00865×($170142350-$244953)=$1469612

第(7)栏显示的$1469591与以上计算的$1469612的提前还款的差额不过是由于表中为节省空间所显示的SMM的四舍五人。

第(8)栏报告的本金还款总额是第(6)栏与第(7)栏的总和。最后一栏显示了该过手证券的月现金流预测。月现金流为过手证券投资者获得的利息[第(5)栏]与当月的本金还款总额[第(8)栏]的总和。

影响提前还款行为的因素

提前还款模型是一个被用以预测提前还款的统计模型。它以建立预期将影响提前还款的因素的统计关系模型为起点。影响提前还款行为的四个主要因素为:(1)现行房产抵押贷款利率,(2)基础房产抵押贷款池的特征,(3)季节性因素,以及(4)总体经济活动。

影响因再融资引起的提前还款的最重要的一个因素是当前的房产抵押贷款利率相对借款人合同利率的水平。合同利率越是高于现行房产抵押贷款利率,为房产抵押贷款再融资的动机就越强。为了使再融资具有经济意义,所节省的利息必须高于房产抵押贷款再融资的相关成本。这些成本包括律师费用、发起费、产权保险和为获取另一笔房产抵押贷款所花费的时间的价值。其中一些成本,如产权保险和发起点数,将根据融资额按比例变化。其他成本,如申请费和律师费用,则通常是固定的。不仅房产抵押贷款利率的水平会影响提前还款行为,房产抵押贷款利率在达到当前水平前所采取的路径也会对其产生影响。

影响提前还款的其他次级因素包括:

□ 贷款/房价比率——在所有其他变量相等的情况下,高ITV贷款的提前还款速度更慢,因为借款人没有足够的权益进行再融资。具有高额权益的低ITV贷款还会启动套现再融资。

□ 债务合并——充分的权益还使债务合并成为可能,即通过再融资借取余额更高的房产抵押贷款,以偿还汽车贷款和信用卡债务。

□ 贷款金额——低余额贷款的提前还款速度更慢,因为再融资成本的固定成分占贷款金额的百分比变成了更大的障碍。

□ 区域经济——区域经济的改善将会引发住宅转手活动。

□ 业主信用——总体而言,经济的改善将会增强业主的信用。在经济衰退期间,业主的信用将会恶化(如失业),即使房产抵押贷款利率较低,他们也不能再融资。

□ 新房产抵押贷款类型的层出不穷——一笔30年期的房产抵押贷款不必通过再融资成为另一笔30年期的房产抵押贷款。广受欢迎的ARM、气球贷款和混合贷款(利率在一段时期内是固定的,然后转换为ARM)一般在陡峭的收益曲线环境中提供较低的利率,30年期借款人可以通过再融资取得这些产品。而30年期至30年期的再融资则是不经济的。

平均期限

由于本金的逐渐偿还,房产抵押贷款过手证券的既定期限是一个不恰当的测度。相反,市场参与者计算平均期限,它是获得本金还款(预定本金还款和预测的提前还款)所需的平均时间,其计算如下:

其中,T为预期获得本金的最后一个月。

于是,平均期限的计算如下:

过手证券的平均期限依赖于PSA提前还款假设。为了看到这点,以下显示了我们用以说明表14.2中的现金流的过手证券在不同提前还款速度下的平均期限。

紧缩风险和展期风险

持有过手证券的投资者不知道现金流的金额,因为它取决于提前还款。正如我们先前指出的那样,这种风险叫做提前还款风险。然而,提前还款风险可以被划分为两种风险:紧缩风险和展期风险。我们将用以下例子解释这两种风险。

假设一位投资者在现行房产抵押贷款利率为10%的时候购买了10%息票的房产抵押贷款过手证券。我们进一步假设基于110PSA的提前还款速度,这种房产抵押贷款过手证券的预期平均期限为9年。让我们考虑假如房产抵押贷款利率下降至6%,提前还款将会发生什么。借款人将有动机提前偿还所有或部分房产抵押贷款,从而导致证券的平均期限比在购买证券时预期的短。例如,市场也许会预期提前还款速度将上升至200PSA,从而导致平均期限下降至6年。投资者的劣势在于:从提前还款获得的资金将不得不以更低的利率被加以再投资。这种证券的平均期限将会缩短、从而迫使投资者以更低的利率进行再投资的风险被称为紧缩风险。

现在,让我们考察假如房产抵押贷款利率上升至14%,将会发生什么。由于业主将不会再融资或提前偿还其房产抵押贷款,提前还款预期将会放缓,从而导致预期平均期限的上升。例如,市场也许会预期提前还款率将下降至75PSA,这将导致平均期限为12年。不幸的是,投资者会在利率上升的环境中希望提前还款加速,从而能以更高的市场利率对所获本金加以再投资。房产抵押贷款利率上升的这个不利后果叫做展期风险。

因此,提前还款风险包括紧缩风险和展期风险。提前还款风险使过手证券对希望达到其投资目标的某些个人和金融机构成为不具吸引力的持有工具。一些个人和机构投资者在购买过手证券时关心展期风险,其他人则关心紧缩风险。我们有可能改变过手证券的现金流以降低机构投资者的紧缩风险或展期风险吗?我们将在讨论分级偿还房产抵押贷款证券时看到这点是可以做到的。

交易和清算程序

联邦机构过手证券是以联邦机构提供的一个贷款池前缀和贷款池编号识别的。前缀表明了过手证券的类型。例如,弗莱迪·麦克PC的贷款池前缀20意味着基础贷款池由原始期限为15年的传统房产抵押贷款组成。吉尼·美MBS的贷款池前缀AR意味着基础贷款池由可调利率房产抵押贷款组成。贷款池编号表明了过手证券的特定基础房产抵押贷款和过手证券的发行者。

债券市场协会(前身为公共证券协会)为房产抵押贷款证券的交易和清算制定了具体规则。我们在这里的讨论仅限于联邦机构过手证券。

在许多交易发生时,贷款池都尚未具体指定,因此贷款池的信息在交易时是未知的。这种交易被称为“TBA”(待公布)交易。在TBA交易中,双方协定联邦机构的类型、联邦机构计划、息票率、面值、价格和清算日。联邦机构过手证券的基础实际贷款池在TBA交易中是未指定的。但是,卖方会在交割前向买方提供这项信息。一些交易为待交割的证券制定了更为具体的要求,例如,息票率为7.0%、WAC在7.5%至7.7%之间的弗莱迪·麦克黄金证券。指定贷款池交易则指定了待交割的实际贷款池的编号。

买方向卖方支付的价格是双方协定的售价加应计利息。在给定票面值的情况下,美元价格(不包括应计利息)受到未偿房产抵押贷款池余额的影响。贷款池系数表明了仍然未偿的初始房产抵押贷款余额的百分比。因此,贷款池系数90意味着90%的原始房产抵押贷款池余额仍然未偿。联邦机构每月报告贷款池系数。

在给定协定价格、票面值和联邦机构提供的当月贷款池系数的情况下,卖方仅为本金支付的美元价格计算如下:

价格×票面值×贷款池系数

例如,假如双方协定票面值为$100万、贷款池系数为85的过手证券的价格为92,那么买方在应计利息以外支付的美元价格为:

0.92×$1000000×0.85=$782000

交易是根据债券市场协会规定的一个交割时间表清算的。这个时间表每季公布一次,它包含了在未来六个月中的交割的信息。每家联邦机构和每个计划都在交割月份的不同日期清算。

在清算日的两个工作日前的东部标准时间下午3点以前,卖方必须向买方提供将被交割的贷款池的信息。这被称为48小时规则。卖方必须提供这项信息的日期叫做通知日或喊价日。双方可以协定不遵守债券市场协会的准则并在任何时候清算。

当投资者基于TBA购买(例如)$100万的GNMA7%证券时,可以最多获得三个贷款池。由于BMA为房产抵押贷款证券的交割和清算标准制定了准则,即我们的虚拟TBA交易允许交割三个可能的贷款池,因此卖方可以交割三个贷款池。只要贷款池的选择和交割符合债券市场协会的准则,选择交割何种贷款池的决定是由卖方作出的。

在任何时点,同一家联邦机构都有许多具有相同息票率的账龄较久的未偿证券。例如,我们有3万多个息票率为7%的30年期未偿吉尼·美MBS的贷款池。一种过手证券可能是由所有房产都位于加利福尼亚州的房产抵押贷款池支持的,而另一种可能是由所有房产都位于明尼苏达州的房产抵押贷款池支持的。还有一种可能是由房产位于全国数个地区的房产抵押贷款池支持的。那么,当交易商在谈论吉尼·美7%证券时,他们指的是哪个贷款池呢?他们指的不是任何具体的贷款池,而是指一般证券,尽管基础贷款池出自全国不同地区的过手证券的提前还款特征各有差异。因此,交易商公司报告的过手证券预测提前还款率是一般过手证券的提前还款率预测。投资者购买的特定贷款池也许会具有与一般过手证券显着不同的提前还款速度。此外,当投资者在不指定贷款池编号的情况下购买过手证券时,只要被交割的贷款池符合有效交割规定,卖方就可以交割收益最差的贷款池。

在TBA交易中,债券市场协会的交割标准允许每$100万的交易超额或缺额交割$100,或0.01%。这意味着假如$100万的票面值是以票面价出售的,那么卖方可以向买方交割票面值在$999900至$1000100之间的任何过手证券。这个交割选择权曾一度对卖方是有利的,当时的交割差额高至3%时。为了理解为何如此,假设利率在交易日至清算日期间发生了下降。过手证券的价值将会上升,因此卖方交割低于$100万的过手证券将更为有利。当利率在交易日至清算日期间上升时,相反情况成立:卖方将会交割面值尽可能最高的证券。当前0.01%的差额空间有效地消除了这个交割选择权。

美元回购

在MBS市场中,由于这些证券的特征和交易商为抵补空头借取这些证券的需要,一种特殊类型的抵押贷款已经发展起来。这个安排叫做美元回购(dollar roll),因为我们称交易商“购入”(roll in)其所借取的证券并在将证券返还给投资组合经理时“卖出”(roll out)证券。

与回购合约(repo agreement)相同,它是一种要求出售并回购证券的抵押贷款。与回购合约不同的是,借取证券的交易商不必返还相同的证券。也就是说,交易商只需返还“实质相同的证券”。这意味着借取证券的交易商必须匹配其所返还的证券的息票率和证券的类型(即发行者和房产抵押物)。这为交易商提供了灵活性。为了换取这种灵活性,交易商提供了100%的融资。也就是说,他们不需要超额抵押或保证金。此外,由于这种灵活性,融资成本可能也比回购合约低廉。最后,与回购合约不同,交易商将在贷款期间保留过手证券支付的息票和本金。

融资成本的确定

融资成本的确定不像在回购中那样简单。假设交易商借取证券/出借现金,确定融资成本的关键因素为:

1.出售价格和回购价格

2.息票付款的金额

3.因预定本金还款导致的本金还款金额

4.所出售的(向交易商出售的)证券的提前还款预测

5.所返还的(即交易商卖出的)实质相同的证券的属性

6.允许缺额或超额交割的金额

让我们考察这些因素。在回购合约中,回购价格大于出售价格,差额代表了利息,并被称为落差(drop)。在美元回购的情形下,回购价格不需要大于出售价格。事实上,在上倾的收益曲线环境中(即长期利率高于短期利率),回购价格将小于购买价格。其原因是第二个因素:息票付款。交易商保留了息票付款。

第三和第四个因素涉及本金还款。本金还款包括预定本金和提前还款。与息票付款一样,交易商在合约期间保留本金还款。假如交易商是折价购买证券的,他将在本金还款上实现收益;假如交易商是溢价购买证券的,则将蒙受损失。由于提前还款,证券支付的本金是未知的。正如我们将看到的那样,它在融资成本的确定中代表了一种风险。

第五个因素是另一种风险,因为有效的融资成本依赖于交易商在合约期末卖出的实质相同的证券(即它返还给出借者的证券)的属性。最后,正如先前解释的那样,交割可以有一定的自由度——即允许缺额或超额交割。

为了说明美元回购的融资成本是如何计算的,假设一位投资组合经理与交易商签订合约,同意以1017/32的价格出售$1000万票面值(即未偿还的总额)的吉尼·美8%证券,并在一个月后以101的价格(回购价格)回购实质相同的证券。因此,落差为7/32。尽管市场允许缺额或超额交割,但我们假设投资组合经理将把$1000万票面值的证券交割给交易商,并且交易商将把相同金额票面值的证券返还给投资组合经理。由于出售价格为1017/32,投资组合经理将获得$10121875(101.21875×$10000000)的现金。在回购日,投资组合经理将以101或$1010万的价格回购实质相同的证券。因此,投资组合经理可以$10121875的价格出售证券,并以$1010万的价格回购它们。差额——即落差——为$21875。

为了抵消这个差额,投资组合经理在合约期间没收交易商获得的息票利息。由于息票率为8%,因此所没收的息票利息为$66666(8%×$10000000/12)。交易商还有权获得任何本金还款,包括常规的预定本金还款和提前还款。由于交易商以1017/32的价格从投资组合经理那里购买了证券,任何本金还款都将导致每$100的所还本金票面值$17/32的损失。从投资组合经理的角度来看,这是一个好处,并有效地降低了融资成本。尽管我们可以确定常规的预定本金还款额,但我们必须基于某个PSA速度预测提前还款。在我们的例子中,为简化起见,让我们假设当月的常规预定本金还款为$6500,基于某个PSA速度预测的提前还款为$2万。由于交易商在每$100的所还票面值上损失了$17/32,因此交易商因常规预定的本金还款损失了$79(17/32×$6500/100),因提前还款损失了$244(17/32×$20000/100)。

于是,月融资成本为:

我们必须将所计算的融资成本5.27%与其他融资机会进行比较。例如,我们可以利用相同的吉尼·美抵押物通过回购合约借取资金。在比较融资成本时,我们必须将成本的美元金额与借款额进行比较。例如,在我们的例子中,我们通过将月利率乘以12,将成本换算为了年成本。其他融资市场中的年换算惯例也许有所不同。此外,在不考虑美元回购的风险的情况下比较其他融资方法的成本也是不恰当的。

由于美元回购交易作为抵押借款工具的特殊性质,我们只能估计融资成本。从我们的例子中,我们可以看出当交易价格高于票面值时,提前还款速度将影响融资成本。我们可以通过假设无提前还款确定最高融资成本。在这种情形下,总融资成本将高出$244,或等于$44712。这使年融资成本从5.27%上升至5.29%,或2个基点。在实践中,投资组合经理可以执行敏感性分析以确定提前还款对融资成本的影响。

本息拆离房产抵押贷款证券

房产抵押贷款过手证券按比例将基础房产抵押贷款池的现金流分配给证券持有者。本息拆离房产抵押贷款证券(本息拆离MBS)是通过将本息分配从按比例分配改变至非均等分配创建的。在最普通的本息拆离房产抵押贷款证券中,所有的利息都被分配至一类证券——纯利息证券,所有本金都被分配至另一类证券——纯本金证券。

纯本金证券

纯本金证券亦称PO或纯本金房产抵押贷款拆离证券,是以远远低于票面值的折扣价购买的。投资者实现的收益取决于提前还款速度。提前还款的速度越快,投资者的收益率就越高。例如,假设一个房产抵押贷款池仅由$4亿本金的30年期房产抵押贷款组成,并且投资者可以$1.75亿的价格购买由这个房产抵押贷款池支持的PO。这项投资的美元收益将为$2.25亿。PO投资者回收美元收益的速度决定了将被实现的实际收益率。在极端情形下,假如基础房产抵押贷款池中的所有业主都决定立即提前偿还其房产抵押贷款,那么PO投资者将立即实现$2.25亿的收益。在另一种极端情形下,假如所有业主都决定在其住宅中居住30年并不支付提前还款,那么$2.25亿将被分摊至30年,这将导致PO投资者收益率的降低。

让我们考察当市场中的房产抵押贷款利率变化时,PO的价格预计会如何变化。当房产抵押贷款利率下降至合同利率以下时,提前还款的速度预计将会上升,从而加速PO持有者获得的还款。因此,PO的现金流将会改善(指本金还款将会提前获得)。由于市场中的房产抵押贷款利率下降了,现金流将以更低的利率贴现。结果是:当房产抵押贷款利率下降时,PO的价格将会上升。当房产抵押贷款利率上升超过合同利率时,提前还款预计将会放缓。现金流将会恶化(指回收本金还款的时间将会更长)。这与更高的贴现率一起,使PO的价格在房产抵押贷款利率上升时下降。

纯利息证券

纯利息证券亦称IO或纯利息房产抵押贷款拆离证券,它不具有票面值。与PO投资者相比,IO投资者希望提前还款的速度放缓,因为IO投资者仅在未偿本金的金额上获取利息。当借款人支付提前还款时,随着未偿本金的下降,投资者将获得更少的美元利息。事实上,假如提前还款速度过快,那么即使IO投资者持有证券至期满,也可能会无法回收为IO支付的金额。

让我们考察IO的价格对房产抵押贷款利率变化的预期反应。假如房产抵押贷款利率下降至合同利率以下,提前还款预期将会加速。这将导致IO预期现金流的恶化。尽管现金流将以更低的利率贴现,但净效应通常是IO价格的下降。假如房产抵押贷款利率上升超过合同利率,预期现金流将会改善,但现金流将以更高的利率贴现。净效应可能是IO价格的上升或下降。

因此,我们看到了IO的一个有趣特征:(1)当房产抵押贷款利率下跌至合同利率以下时,(2)当房产抵押贷款利率在高于合同利率的一定范围以内时,其价格通常与房产抵押贷款利率同向变化。当房产抵押贷款利率变化时,PO和IO都呈现出显着的价格波动性。IO和PO相对创建它们的过手证券的更高价格波动性是由于IO和PO的综合价格波动性必须等于过手证券的价格波动性。

我们可以基于某个提前还款假设计算PO的平均期限。然而,IO不获得任何本金还款,因此在理论上,我们不能计算平均期限。相反,我们利用平均期限公式中的利息还款预测、而非本金,对IO计算“现金流平均期限”。

本息拆离房产抵押贷款证券的交易和清算程序

本息拆离房产抵押贷款证券的交易和清算程序与上节描述的债券市场协会为联邦机构过手证券制定的程序相似。规定的内容是交易类型(TBA与指定贷款池)、收入的计算和清算日。

IO和PO是极端的溢价和折价证券,因此对提前还款尤为敏感。提前还款是由基础贷款的具体特征(GWAC、WAM、地理集中度、平均贷款金额)驱动的。IO和PO的TBA交割选择权具有经济价值,但这个价值很难量化。因此,几乎所有的IO和PO二级市场交易都是以特定贷款池、而不是以TBA为基础的。

所有的IO和PO都有一个信托编号。例如,FNMA1号信托是由特定的FNMA9%房产抵押贷款池支持的IO/PO信托。FNMA2号信托是由FNMA10%房产抵押贷款支持的。FNMA23号信托是另一种由FNMA10%房产抵押贷款支持的IO/PO信托。根据人们基于23号和2号信托的GWAC、WAM和地理集中度看到的23号信托相对2号信托的提前还款行为,23号信托PO的价值可能会高于或低于2号信托PO的价值。因此,投资者必须指定他/她购买的是哪只信托。

由于交易是以指定信托为基础的,因此它们也是基于原始面额进行的。例如,假设投资者同意购买$1000万原始面值的23号信托PO,并在8月份清算。在交易发生时,8月份的系数不必是已知的;然而,由于卖方没有任何交割选择权,待交割的金额是清晰无误的。假如8月份的系数为0.30,那么卖方必须交割当前面额为$300万的证券;假如8月份的系数为0.25,则卖方需要交割当前面额为$250万的证券。

PO交易的总收入是用与过手证券交易相同的方式计算的,但没有应计利息。例如,假设买卖双方同意以75-08的价格交易$1000万原始面值的23号信托PO,清算日为8月25日。假设8月份的信托系数为0.25,交易收入的计算方式如下:

75.08×$10000000×0.25=$1881250

价格 原始面值 贷款池系数 收入

市场基于名义本金交易IO。收入包含基于名义金额的价格和应计利息。例如,假设买卖双方同意以33-20的价格交易$1000万原始名义面值的23号信托IO,清算日为8月25日。假设8月份的系数为0.25,交易收入的计算方式如下:

(0.33625+0.10×24天/360天)×$10000000×0.25=$857292

价格息票 数天应计利息 原始名义本金 系数 收入

联邦机构过手证券的交易根据债券市场协会制定的交割时间表清算。本息拆离房产抵押贷款证券的交易遵循相同的交割时间表。

联邦机构分级偿还房产抵押贷款证券

一些机构投资者在投资于房产抵押贷款过手证券时关心展期风险,其他投资者则关心紧缩风险。这个问题可以通过将房产抵押贷款过手证券的现金流重新导向不同级别的债券(叫做差级债券)、从而创建具有与产生这些差级债券的过手证券不同的提前还款风险和风险/回报特征的证券来化解。CMO是转付结构的一个例子。

当房产抵押贷款过手证券池的现金流被重新分配至不同级别的债券时,由此产生的证券叫做分级偿还房产抵押贷款证券(CMO)。CMO的创建不能消除提前还款风险;它只能在不同类别的债券持有者之间分配这种风险的不同形式。CMO的主要金融创新在于:其所创建的证券更贴切地符合了机构投资者的资产/负债需求,从而扩大了房产抵押贷款证券产品对债券投资者的吸引力。

我们不在此列举可在CMO结构中创建的不同类型的差级债券,而是说明如何创建差级债券。这将提供金融工程的一个例子。尽管市场中已创建了多种不同类型的CMO,但我们仅考察CMO市场中的三个关键创新:接续还本差级债券、应计差级债券和计划摊还差级债券。我们在这里未说明的两种其他重要的差级债券是浮动利率差级债券和反浮动利率差级债券。

接续还本CMO

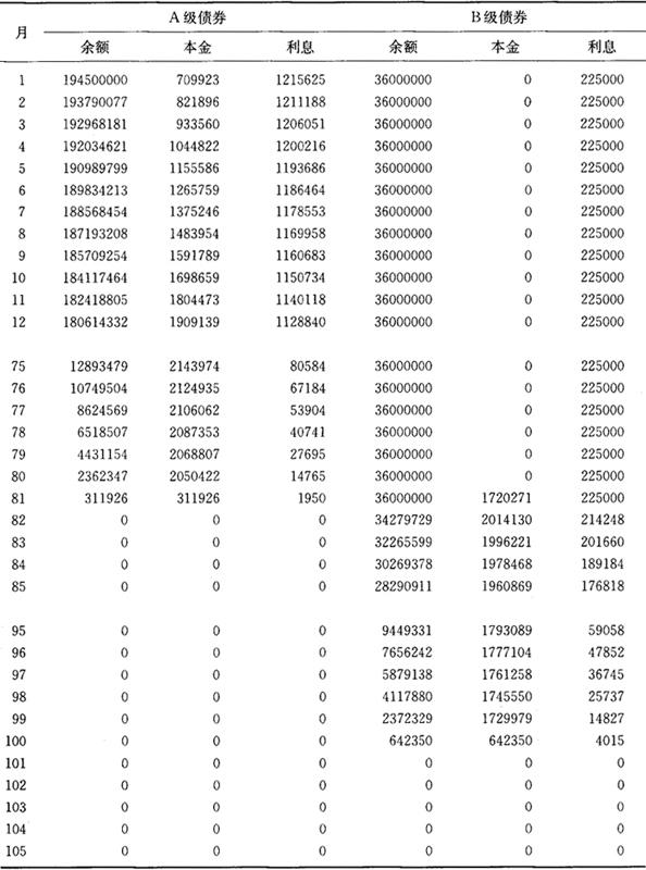
接续还本CMO的设计使每级债券(即差级债券)被依次加以回收。为了说明接续还本CMO,我们将讨论CMO-1——一种说明该结构的基本特征的虚拟证券。这种虚拟CMO的抵押物是票面值总额为$4亿并且具有以下特征的房产抵押贷款过手证券:(1)证券的息票率为7.5%,(2)加权平均息票(WAC)为8.125%,(3)加权平均期限为357个月。这是我们在本章前面用以描述基于某个PSA假设的过手证券现金流的同一种房产抵押贷款过手证券。

我们从这$4亿的抵押物创建了四档债券。表14.3总结了它们的特征。四档债券的票面值总额等于抵押物(即房产抵押贷款过手证券)的票面值。在这个简单的结构中,每档债券的息票率都完全相同,而且也与抵押物的息票率相同。CMO结构没有任何理由必须如此,事实上,不同的差级债券通常具有不同的息票率。

表14.3 CMO-1:一个虚拟的四档接续还本结构

偿付规则:

1.每月的息票利息还款:根据月初的未偿本金额向各级债券分配每月的息票利息。

2.本金还款的分配:将本金还款分配至A级债券,直至其完全得以清偿为止。在A级债券完全清偿后,将本金还款分配至B级债券,直至其完全得以清偿为止。在B级债券完全清偿后,将本金还款分配至C级债券,直至其完全得以清偿为止。在C级债券完全清偿后,将本金还款分配至D级债券,直至其完全得以清偿为止。

现在,让我们记住CMO是通过根据一组偿付规则将现金流——利息和本金——重新分配至不同的差级债券创建的。表14.3底部的偿付规则描述了房产抵押贷款过手证券(即抵押物)的现金流是如何被分配至四档债券的。息票利息和本金具有不同的偿付规则,本金为常规的预定本金还款和所有提前还款的总额。

在CMO-1中,每档债券都基于月初的未偿余额获取每月的息票利息付款。然而,本金是以一个特殊方式分配的。在前数档差级债券的全部本金得以清偿前,差级债券无权获得本金。更具体而言,A级债券获得所有的本金还款,直至该级债券应得的全部本金$19450万得以清偿为止;接着,B级债券开始获得本金,直至其获得全部的$3600万为止。然后,C级债券获得本金。在其得以清偿后,D级债券开始获得本金还款。

尽管本金还款分配的优先规则是已知的,但每个月的确切本金还款额却是未知的。这将取决于抵押物的现金流和本金还款,而这又依赖于抵押物的实际提前还款率。一个假设的PSA速度可以使我们预测现金流。表14.2显示了在165PSA假设下的现金流(利息、常规的预定本金还款和提前还款)。假设抵押物确实以165PSA的速度提前还款,CMO-1的所有四档差级债券可以获得的现金流将恰好是表14.2显示的现金流。

为了说明CMO-1的优先规则是如何运行的,表14.4显示了在抵押物以165PSA的速度提前还款的假设下的特定月份的现金流。对于每档债券,该表显示了(1)月末余额,(2)本金的减少(常规的预定本金还款加提前还款),以及(3)利息。在第1个月中,抵押物的现金流由$709923的本金还款和$250万的利息(0.075乘以$4亿,再除以12)组成。利息付款基于未偿票面值的金额被分配至四档债券。因此,A级债券将获得$250万美元中的$1215625(0.075乘以$194500000,再除以12)。但是,本金被全部分配至A级债券。因此,A级债券第1个月的现金流为$1925548。A级债券第1个月的月末本金余额为$193790076($194500000的原始本金余额减$709923的本金还款)。由于A级债券仍有未偿本金余额,因此其他三级债券没有任何本金还款分配。这在第2至第80个月也是如此。

表14.4 在165PSA的假设下,CMO-1的特定月份的月现金流

在第81个月后,A级债券的本金余额将为零。对抵押物而言,第81个月的现金流为$3318521,它由$2032196的本金还款和$1286325的利息组成。在第81个月的月初(第80个月的月末),A级债券的本金余额为$311926。因此,抵押物的$2032196的本金还款中的$311926将被分配至A级债券。在该笔还款得以支付后,A级债券将不获得任何额外的本金还款,因为其本金余额为零。抵押物的剩余本金还款$1720271被分配至B级债券。根据165PSA的假设提前还款速度,B级债券接着开始在第81个月获得本金还款。

表14.4显示了B级债券在第100个月得以全部清偿,C级债券在此时开始获得本金还款。C级债券直到第178个月才得以全部清偿,D级债券在此时开始获得剩余的本金还款。在165PSA的假设下,这四档债券的期限(即本金得以完全清偿所需的时间)为:A级债券81个月,B级债券100个月,C级债券178个月,D级债券357个月。

让我们考察我们通过创建CMO达到了什么目标。首先,在165PSA的提前还款速度假设下,房产抵押贷款过手证券的平均期限为8.76年。(边码)第361页显示了在不同提前还款速度假设下的抵押物和四档债券的平均期限。注意,四档债券的平均期限都长于或短于抵押物的平均期限,从而吸引了偏好不同于抵押物的平均期限的投资者。

但还有一个主要问题:差级债券的平均期限具有相当大的差异。我们将在后面看到如何处理这点。然而,每档债券都具有一定的提前还款风险保护。这是由于本金分配的优先次序安排(即本金偿付规则的建立)有效地为这个结构中的短期A级债券提供了展期风险保护。这种保护必须来自某个地方,因此它来自其他三档债券。同样,C级和D级债券为A级和B级债券提供了展期风险保护。与此同时,C级和D级债券也从中获益,因为它们获得了紧缩风险保护,这个保护来自A级和B级债券。

应计债券

在CMO-1中,利息偿付规则规定了所有差级债券每月都将获得利息。在许多接续还本CMO结构中,至少有一档债券当前不获取利息。相反,该档债券的利息将会累计并被添加至本金余额上。这种差级债券通常被称为应计债券或Z债券(因为债券与零息票债券相似)。本应被支付给应计差级债券的利息将被用以加速前数档债券的本金余额的偿还。

为了看到这点,让我们考虑CMO-2,一种具有与CMO-1相同的抵押物和四档债券的虚拟CMO结构,每档债券的息票率为7.5%。表14.5显示了这个结构。区别在于最后一档债券Z,即应计债券。

表14.5 CMO-02:附有应计差级债券的虚拟四档债券接续还本结构

偿付规则:

1.每月息票利息的支付:基于月初的未偿本金额将每月的息票利息分配至A级、B级和C级债券。对于债券Z,基于本金加前一个月的应计利息累计利息。债券Z的利息被作为本金还款支付给前数档债券。

2.本金还款的分配:将本金还款分配至A级债券,直至其完全得以清偿为止。在A级债券得以清偿后,将本金还款分配至B级债券,直至其得以完全清偿为止。在B级债券得以清偿后,将本金还款分配至C级债券,直至其得以清偿为止。在C级债券得以清偿后,将本金还款分配至Z债券,直至原始本金余额加应计利息得以清偿为止。

让我们考察第1个月并将之与表14.4中基于165PSA的第1个月进行比较。抵押物的本金还款为$709923。在CMO-1中,这是A级债券的本金还款。在CMO-2中,债券Z的利息$456250未被支付给该档债券,而是被用以偿还A级债券的本金。因此,A级债券的本金还款为$1166173,即$709923的抵押物本金还款加上来自债券Z的$456250的利息。

应计差级债券的纳入导致了A级、B级和C级债券的预期最终期限的缩短。A级债券的最终支付期为64个月,而不是81个月;B级债券为77个月,而不是100个月;C级债券为112个月,而不是178个月。由于CMO-2包含了应计债券,其A级、B级和C级债券的平均期限比在CMO-1中的短。例如,在165PSA的提前还款速度下,平均期限为:

非应计差级债券的期限缩短的原因是:本应被支付给应计债券的利息被分配至了其他差级债券。CMO-2中的债券Z将具有比CMO-1中的D级债券更长的平均期限。

因此,我们通过纳入应计债券创建了期限更短和更长的差级债券。应计债券受到了担心再投资风险的投资者的欢迎。由于没有息票付款可被加以再投资,在所有其他差级债券得以清偿前,再投资风险得到了消除。

计划摊还差级债券

在计划摊还差级债券(PAC)CMO结构中,假如提前还款在一个指定的范围以内,那些被识别为PAC债券的差级债券的现金流模式是已知的。PAC债券现金流的可预测性更高的原因是债券有一个必须得以满足的本金还款计划。PAC债券在获取基础抵押物的本金还款时优先于CMO结构中的所有其他差级债券。PAC债券现金流的更大的确定性是以非PAC差级债券(叫做支持级债券或附随债券)为代价的。支持级债券吸收了提前还款风险。

为了说明如何创建PAC债券,我们将利用息票率为7.5%、WAC为8.125%、WAM为357个月的$4亿房产抵押贷款过手证券作为抵押物。表14.6的第二栏显示了在90PSA的提前还款速度假设下的特定月份的本金还款(常规的预定本金还款加提前还款),下一栏显示了在房产抵押贷款过手证券以300PSA的速度提前还款的假设下的特定月份的本金还款。

表14.6 在90PSA和300PSA的提前还款速度假设下,息票率为7.5%、WAC为8.125%、WAM为357个月的$4亿票面值过手证券的月本金还款

表14.6的最后一栏给出了在抵押物的提前还款速度为90PSA或300PSA的情况下的第1至第349个月的最低本金还款。(在第349个月以后,假如提前还款速度在90PSA和300PSA之间,未偿本金余额将被清偿。)例如,在第1个月,假如抵押物以90PSA的速度提前还款,本金还款将为$508169.52;假如抵押物以300PSA的速度提前还款,本金还款将为$1075931.20。因此,正如表14.6的最后一栏报告的那样,最低本金还款为$508169.52。在第103个月,最低本金还款也是在提前还款速度为90PSA的情况下的金额,即$1446761,而当提前还款速度为300PSA时的本金还款为$1458618.04。然而,在第104个月,300PSA的提前还款速度将导致$1433539.23的本金还款,它小于90PSA假设下的$1440825.55的本金还款。因此,表14.6的最后一栏报告了$1433539.23。事实上,从第104个月起,最低本金还款为300PSA的提前还款速度假设所导致的本金还款。

假如抵押物以90PSA至300PSA之间的任何速度提前还款,最低本金还款将为表14.6的最后一栏所报告的金额。例如,假如我们包含了在提前还款速度为200PSA的假设下的本金还款,最低本金还款将不会发生变化:在第11个月至第103个月期间,最低本金还款为90PSA产生的还款,但从第104个月起,最低本金还款为300PSA产生的还款。

假设抵押物在其期限内以90PSA至300PSA之间的一个固定速度提前还款,抵押物的这个特征将允许PAC差级债券的创建。我们指定了一个PAC债券持有者有权在CMO中的其他任何债券之前获取本金还款的计划。每月的本金还款计划与表14.6的最后一栏指定的相同,它显示了最低本金还款。尽管我们不能保证抵押物会在这两个速度之间提前还款,但PAC债券可以按照这个假设设计。

表14.7显示了从息票率为7.5%、WAC为8.125%、WAM为357个月的$4亿房产抵押贷款过手证券创建的一个CMO结构——CMO-3。这个结构中只有两档债券:在90至300PSA的假设下创建的票面值为$2.438亿的7.5%息票PAC债券,以及票面值为$1.562亿的支持级债券。

表14.7 CMO-3:含一档PAC债券和一档支持级债券的CMO结构

偿付规则:

1.每月息票利息的支付:根据月初的未偿本金余额将每月的息票利息分配至各档债券。

2.本金还款的分配:根据债券P的本金还款计划将本金还款分配至债券P。为满足这个计划,债券P对当前和未来的本金还款拥有优先权。任何高于满足债券P的计划所需金额的月中超额本金还款都被支付给债券S。在债券S得以全部清偿后,无论计划如何,所有的本金还款都被支付给债券P。

以下显示了在各种实际提前还款速度的假设下,CMO-3中的PAC债券和支持级债券的平均期限:

注意,在90PSA至300PSA之间,PAC债券的平均期限十分稳定,为7.26年。然而,在更慢或更快的PSA速度下,计划将被突破,并且平均期限将会发生变化,在提前还款速度低于90PSA时延长,并在提前还款速度高于300PSA时缩短。即使如此,支持级债券的平均期限波动性也远远更高。支持级债券的平均期限波动性十分显着。

大多数含有PAC的CMO结构通常都含有多档PAC债券。这些差级债券是通过将一档PAC债券分割为一系列接续还本PAC差级债券创建的。

总结

在本章中,我们集中讨论了房产抵押贷款证券市场中的联邦机构证券领域。这个领域包含的证券为联邦机构过手证券、联邦机构本息拆离房产抵押贷款证券和联邦机构分级偿还房产抵押贷款证券。我们已解释了这些证券的原材料(即房产抵押贷款)、结构、交易和清算程序,以及这些证券的相关风险。

【作者信息】:博士、CFA、耶鲁大学管理学院金融学兼职教授 邓普顿投资公司高级副总裁投资组合策略员/风险经理

随便看

 

文网收录3541549条中英文词条,其功能与新华字典、现代汉语词典、牛津高阶英汉词典等各类中英文词典类似,基本涵盖了全部常用中英文字词句的读音、释义及用法,是语言学习和写作的有利工具。

 

Copyright © 2004-2024 Ctoth.com All Rights Reserved
京ICP备2021023879号 更新时间:2025/10/18 14:23:39