别名 胆固醇
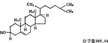
结构式

性能 胆甾醇其一水合物为白色或淡黄色有珠光的片状结晶,70~80℃成无水物。微溶于醇(20℃,1.29g/100g),热乙醇可溶28g,几乎不溶于水(约0.2mg/100mL),可溶于苯、石油醚及油脂中。在空气中缓慢氧化变黄,熔点和溶解度也随之改变。
质量规格(参考)

用途 用作制造激素的重要原料,也用作乳化剂,化妆品的添加剂。
国内生产厂 北京化工厂、天津化学试剂三厂、陕西西安化学试剂厂。
国外质量规格参考(JSCI-Ⅱ)
性状 白色有光泽的薄片状结晶或粒状结晶,几乎没有气味
熔点,℃146~150
比旋光度〔α〕
-34~-38°(干燥后,0.2g,二恶烷,10mm,100mm)
溶状 本品0.5g置于通用塞烧瓶中,加温乙醇50mL溶解,在室温放置2h,液体无沉淀或混浊
干燥减量,%≤0.3 灼烧残分,%≤0.1