网站首页  词典首页

请输入您要查询的字词:

 

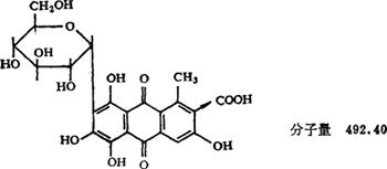
字词 胭脂红
类别 中英文字词句释义及详细解析
释义

胭脂红


别名 胭脂虫红

主要成分 胭脂红酸(Carminic acid)

结构式

性能 带光泽的红色碎片或深红色粉末。溶于碱液,微溶于热水,几乎不溶于冷水和稀酸。毒性ADI 0~5(FAO/WHO,1985),LD508.89g/kg(小鼠,经口)。

质量规格(FCC,1981)

用途 食用红色色素。按日本规定可用于番茄调味酱、洋酒、糖果、草莓酱、饮料、冷饮、香肠、糕饼等。因其安全性好也作为化妆品用色素。

随便看

 

文网收录3541549条中英文词条,其功能与新华字典、现代汉语词典、牛津高阶英汉词典等各类中英文词典类似,基本涵盖了全部常用中英文字词句的读音、释义及用法,是语言学习和写作的有利工具。

 

Copyright © 2004-2024 Ctoth.com All Rights Reserved
京ICP备2021023879号 更新时间:2025/10/17 23:07:34