网站首页  词典首页

请输入您要查询的字词:

 

字词 花生形态特征考查记载标准
类别 中英文字词句释义及详细解析
释义

花生形态特征考查记载标准


1.株型 按照茎蔓的生长习性,分为丛生型、中间型和蔓生型三种。丛生型的茎蔓较短,分枝较小,直立而扩展范围较小;蔓生型的茎蔓较长,分枝多,匍匐地面,扩展范围较大;中间型又称半蔓生型,介于两者之间。

2.叶

(1)叶形 在开花期植株顶端大型叶片的形状,分为椭圆形、倒卵形、梨形等。

(2)叶片大小 以植株顶部充分发育的最大叶片的顶端一对小叶为标准。在小区内取有代表性的植株10株测量其长度与宽度,以长×宽(厘米)表示之。

(3)叶色 分为深绿、浅绿、黄绿等。

(4)小叶基部花青素 根据小叶基部有无红色柄基,分为红色、无色两种。

(5)叶片茸毛 根据叶片背面茸毛多少,分为多、中、少三级。

(6)叶柄茸毛 根据叶柄和小叶柄茸毛多少,分为多、中、少三级。

3.茎

(1)株高 收获前测量。测量最长侧枝顶端生长点至地面的距离,以厘米表示。

(2)匍匐范围 收获前调查。中间型品种测量第一次侧枝匍匐直径;蔓生种则测量第一次侧枝延伸范围的最大直径,以厘米表示。

(3)株丛大小 不论任何类型,以株丛最大直径为标准,用厘米表示。

(4)茎枝花青素 根据主茎和侧枝上花青素的深浅,分为浓、淡、无三级。

(5)茎枝茸毛 根据主茎和侧枝上茸毛多少,分为多、中、少三级。

(6)分枝习性 根据第一次分枝上结果分布情况,分为交替分枝型、连续分枝型两类。交替分枝型的第一次分枝上,有性枝和无性枝相互交替,一般情况,每相距两个无性枝出现两个有性枝;连续分枝型的第一次分枝上,除了偶尔出现无性分枝外,有性枝是连续出现的。

(7)分枝类型 按照第一次侧枝(从主茎上直接生出的侧枝)上有无第二、三次侧枝(从第一次侧枝生长的分枝为第二次侧枝,第二次侧枝的分枝为第三次侧枝,余类推),分为密枝型和疏枝型两类。密枝型的第二次侧枝很多,并能见到第三、第四次测枝;疏枝型的第二次侧枝很少,甚至没有,很少见到有着生第三次侧枝情况者。

(8)总分枝数 分枝以长达10cm以上者为标准。植株上所有各次分枝的总和,不论有否结果。

(9)结实枝数 所有能结果(指饱果和瘪果,空果不计)的各次分枝总和。

(10)第一次侧枝数 直接由主茎上长出的侧枝总数。

(11)第一次结实侧枝数 指第一次侧枝中结有荚果的枝数。

(12)侧枝长度 第一次侧枝伸直后的最大长度,以厘米表示。

(13)最大结果范围 第一次侧枝伸直后的最远结实位置和主茎的距离,以厘米表示。

(14)最大结实节位 第一次侧枝上结实最远的节数。

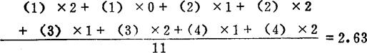
(15)平均结实节位 以第一对第一次侧枝为计算标准。以主茎枝腋的第一节位,向左右依次数各节位及结实数,直到本枝上最大结实节位为止,然后计算节数与结实数乘积的总和,再除以第一对第一次侧枝上的总荚数,以所得之商表示之。商数愈小,表示结荚愈集中;反之商数愈大,结荚愈分散。现举图例说明如下。

上图的平均结实节位为:

4.花

(1)花色 根据花冠黄色的深浅,分为橙黄、卵黄、浅黄三种。

(2)花冠花青素 根据花冠上紫晕的多少和深浅,分为浓、淡、无三级。

5.荚果

(1)荚果形状 分为斧头形、曲棒形、葫芦形、串珠形、普通形等如下图。

(2)荚果大小 取饱满荚10个,测量其长度与粗度(在最粗之处测定),分别求其平均数,用厘米表示。重复2次。

(3)荚果色泽 根据成熟的荚果壳色分为黄褐、草黄、白色三种。

(4)脉纹形状 根据荚果壳上的脉纹形状分为网状、条状两类。

(5)脉纹深浅 荚果可根据果壳脉纹深浅程度分为粗糙、中等、光滑三种。

(6)荚果空腔 根据饱满荚果中种子与荚果附着程序,分为大腔(干燥后摇动荚果时,其内部种子摇动很显着)、中腔(干燥后摇动时,种子稍有摆动)、小腔(种子与荚果密切附着,毫无摇动)三种。

(7)各型荚果率 以饱满荚果为标准,分别计算各种不同室数荚果的百分率。

(8)子房柄坚实度 根据收获时荚果脱落情况,分为强、中、弱三级表示。

6.种子

(1)种子形状 分为三角形、桃形、圆锥形、椭圆形等,参见下图。

(2)种子大小 以长度为标准,取样10粒测定,求平均,2次重复,以厘米表示。

(3)种子表面情况 根据饱满种粒表面光滑与否,分为光滑(种子表面光滑无皱纹突起物,无明显的背棱与腹沟)、凹凸(种子表面不平,有明显的背棱与腹沟)两种。

(4)种皮色 根据刚剥出种皮的色泽,分为紫红、红、褐、粉红和白色等。

(5)种子味 剥壳后,尝试种皮有无苦味,分为苦、不苦两种。

【参考文献】:

〔1〕浙江农业大学编(1961),作物栽培学611-632,上海科学技术出版社。

〔2〕浙江农科院作物育种所(1964),农作物田间试验记载项目及试行标准,《浙江农业科学》编辑室。

〔3〕颜启传等译(1987),国际种子检验规程,农业出版社。

〔4〕中材俊一郎(1982),农林种子生理讲座,农业と园芸,57(5):109-110。

随便看

 

文网收录3541549条中英文词条,其功能与新华字典、现代汉语词典、牛津高阶英汉词典等各类中英文词典类似,基本涵盖了全部常用中英文字词句的读音、释义及用法,是语言学习和写作的有利工具。

 

Copyright © 2004-2024 Ctoth.com All Rights Reserved
京ICP备2021023879号 更新时间:2026/4/18 21:57:33