网站首页  词典首页

请输入您要查询的字词:

 

字词 苋菜红
类别 中英文字词句释义及详细解析
释义

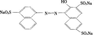
苋菜红


结构式

分子式:C20H11N2Na3O10S3

相对分子质量:604.48

一、苋菜红的鉴别

1.试剂和溶液

1.1 乙酸铵 0.02mol/LCH3COONH4溶液。

1.2 无水乙醇。

1.3 正丁醇。

1.4 1%氨水。

2.仪器

2.1 分光光度计。

2.2 新华层析滤纸 1号中速。

2.3 标本缸 Φ100mm×200mm。

2.4 微量进样器 0.01mL。

3.操作步骤.

3.1 0.1g样品溶于100mL水中,呈玫瑰红色溶液,样品微溶于乙醇,不溶于油脂,具有酸性染料的特性,能使动物纤维染色。

3.2 在100mL0.02mol/LCH3COONH4溶液中,含有0.001g样品的溶液,其最大吸收波长为(520±2)nm。

3.3 取样品水溶液,做纸上层析,其主色点的Rf应与标准样品相同。

纸上层析条件:

展开剂:正丁醇∶无水乙醇∶氨水(1%)=6∶2∶3。

温度:20~25℃。

试液浓度:0.1g/100mL。

试液用量:0.002mL。

展开剂前沿上升限度:150mm。

二、苋菜红的含量测定

1.试剂和溶液

1.1 硫酸亚铁铵。

1.2 重铬酸钾 0.1mol/L标准溶液,按GB601配制。

1.3 硫氰酸铵 20%溶液。

1.4 硫酸 c(1/2H2SO4)=10mol/L溶液。

1.5 柠檬酸三钠。

1.6 盐酸。

1.7 0.1mol/LTiCl3标准溶液。

1.7.1 配制:取TiCl3溶液100mL和浓盐酸75mL,置于1000mL棕色容量瓶中,用新煮沸过并已冷却到室温的蒸馏水稀释至刻度,摇匀,立即倒入避光的下口瓶中,在二氧化碳气体保护下贮藏。

1.7.2 仪器装置:如图5-1所示。

图5-1

1-锥形瓶(500mL) 2-棕色滴定管(50mL) 3-色黑纸的下口玻璃瓶(2000mL) 4-盛10%碳酸铵和10%硫酸亚铁等量混合液的容器(5000mL) 5-活塞 7-装有水的洗气瓶 6,8-空瓶

1.7.3 三氯化钛标准溶液的标定:称取硫酸亚铁铵3g,置于500mL锥形瓶中,在二氧化碳气流保护作用下,加入新煮沸并已冷却的蒸馏水50mL使其溶解,再加入10mol/L(1/2H2SO4)25mL,继续在液面下通入二氧化碳气流作保护,迅速准确加入0.1mol/L(1/6K2Cr2O7)标准溶液40mL,然后用需标定的TiCl3标准溶液滴定到接近计算量终点,立即加入20%硫氰酸铵溶液25mL,并继续用需标定的TiCl3标准溶液滴定到红色转变为绿色,即为终点,整个滴定过程,均应在二氧化碳气流保护下操作,同时以40mL水代替重铬酸钾溶液,以相同方法做一空白试验。

1.7.4 分析方法的表述

三氯化钛浓度按式(5-1)计算:

式中 V1——重铬酸钾标准溶液体积,mL

V2——滴定重铬酸钾标准溶液用去三氯化钛溶液的体积,mL

V3——滴定空白用去三氯化钛溶液的体积,mL

c1——K2Cr2O7标准溶液的浓度,mol/L

2.测定方法

称取样品约3g(称准至0.0002g)溶于新煮沸并已冷却到室温的水中,移入500mL容量瓶中,稀释至刻度,摇匀。吸取50mL样品溶液置于250mL锥形瓶中,加入柠檬酸三钠15g,水150mL,在液面下通入二氧化碳气流的同时加热至沸,并用0.1mol/LTiCl3标准溶液滴定到无色为终点。同时以50mL水代替样品溶液,以相同方法做一空白试验。

3.分析方法的表述

苋菜红质量分数w按式(5-2)计算:

式中 V——滴定样品用去TiCl3标准溶液的体积,mL

V1——滴定空白用去TiCl3标准溶液的体积,mL

c——TiCl3标准溶液的浓度,mol/L

0.1511——每毫摩苋菜红的质量,g/mmol

m——样品质量,g

三、食品中合成着色剂的测定

(一)高效液相色谱法

1.原理

食品中入工合成着色剂用聚酰胺吸附法或液-液分配法提取,制成水溶液,注入高效液相色谱仪,经反相色谱分离,根据保留时间定性与峰面积比较进行定量。最小检出量,新红5ng,柠檬黄4ng,苋菜红6ng,胭脂红8ng,日落黄7ng,赤藓红18ng,亮蓝26ng,当进样量相当0.025g时最低检出浓度分别为0.2mg/kg,0.16mg/kg,0.24mg/kg,0.32mg/kg,0.28mg/kg,0.72mg/kg,1.04mg/kg。

2.试剂和溶液

2.1 正己烷。

2.2 盐酸。

2.3 乙酸。

2.4 甲醇 经滤膜(0.5μm)过滤。

2.5 聚酰胺粉(尼龙6) 80~100目。

2.6 0.02mol/LCH3COONH4溶液 称取1.54gCH3COONH4,加水至1000mL,溶解,经滤膜(0.45μm)过滤。

2.7 氨水 量取氨水2mL,加水至100mL,混匀。

2.8 0.02mol/L 氨水-乙酸铵溶液 量取氨水0.5mL,加0.02mol/LCH3COONH4溶液至1000mL,混匀。

2.9 甲醇-甲酸(6+4)溶液 量取甲醇60mL,甲酸40mL,混匀。

2.10 柠檬酸溶液 称取20g柠檬酸(C6H8O7·H2O),加水至100mL,溶解混匀。

2.11 无水乙醇-氨水-水(7+2+1)溶液 量取无水乙醇70mL,氨水20mL,水10mL,混匀。

2.12 三正辛胺正丁醇溶液 量取三正辛胺5mL,加正丁醇至100mL,混匀。

2.13 饱和硫酸钠溶液。

2.14 硫酸钠溶液(2g/L)。

2.15 pH6的水 水加柠檬酸调节pH至6。

2.16 合成着色剂标准溶液 准确称取按其纯度折算为100%质量的柠檬黄、日落黄、苋菜红、胭脂红、新红、赤藓红、亮蓝、靛蓝各0.100g,置100mL容量瓶中,加pH6水至刻度。配成水溶液(1.00mg/mL)。

2.17 合成着色剂标准使用液 临用上述溶液时(2.16)加水稀释20倍,经滤膜(0.45μ.m)过滤。配成每毫升相当50.0μg的合成着色剂。

3.仪器

高效液相色谱仪,带紫外检测器,波长254nm。

4.操作步骤

4.1 样品处理。

4.1.1 橘子汁、果味水、果子露汽水等:称取20.0~40.0g,放入100mL烧杯中。含二氧化碳样品加热驱除二氧化碳。

4.1.2 配制酒类:称取20.0~40.0g,放100mL烧杯中,加小碎瓷片数片,于水浴上加热驱除乙醇。

4.1.3 硬糖、蜜饯类、淀粉软糖等:称取5.00~10.00g已粉碎的样品,放入100mL小烧杯中,加水30mL,温热溶解,若样品pH较高,用柠檬酸溶液调pH到6左右。

4.1.4 巧克力豆及着色糖衣制品:称取5.00~10.00g,放入100mL小烧杯中,用水反复洗涤着色剂,到巧克力糖豆无色素为止,合并着色剂漂洗液为样品溶液。

4,2 着色剂提取。

4.2.1 聚酰胺吸附法:样品溶液加柠檬酸溶液调节pH至6,加热至60℃,将1g聚酰胺粉加少许水调成粥状,倒入样品溶液中,搅拌片刻,以G3耐酸漏斗抽滤,用60℃pH4的水洗涤3~5次,然后用甲醇-甲酸混合溶液洗涤3~5次(含赤藓红的样品用4.2.2法处理),再用水洗至中性,用乙醇-氨水-水混合溶液解吸3~5次,每次5mL,收集解吸液,加乙酸中和,蒸发至近干,加水溶解,定容至5mL。经滤膜(0.45μm)过滤,取10μL进高效液相色谱仪。

4.2.2 液-液分配法(含用于含赤藓红的样品):将制备好的样品溶液放入分液漏斗中,加2mL盐酸、三正辛胺正丁醇溶液(5%)10~20mL,振摇提取,分取有机相,重复提取,至有机层无色。合并有机相,用饱和硫酸钠溶液洗2次,每次10mL,分取有机相,放蒸发皿中,水浴加热浓缩至10mL,转移至分液漏斗中,加60mL正己烷,混匀,加氨水提取2~3次,每次5mL。合并氨水溶液层(含水溶性酸性着色剂),用正己烷洗2次,氨水层加乙酸调成中性,水浴加热蒸发至近干,加水定容至5mL。经滤膜(0.45μm)过滤,取10μL,进高效液相色谱仪。

4.3 高效液相色谱参考条件。

4.3.1 柱:YWG-C1810μm不锈钢柱4.6mmc(id)×250mm。

4.3.2 流动相:甲醇-0.02mol/L乙酸铵溶液(pH4)。

4.3.3 梯度洗脱:甲醇:20%~35%,3%/min;35%~98%,9%/min;98%继续6min。

4.3.4 流速:1mL/min。

4.3.5 紫外检测器,波长254nm。

4.4 测定 取相同体积样液和合成着色剂标准使用液分别注入高效液相色谱仪,根据保留时间定性,外标峰面积法定量。

5.分析方法的表述

式中 x——样品中着色剂的含量,g/kg

V2——进样体积,mL

V1——样品稀释总体积,mL

m1——样品质量,g

41——进液体积重着色剂质量,mg

结果的表述:报告算术平均值的2位有效数。

6.允许差

相对相差≤10%。

7.液相色谱图

如图5-2所示。

图5-2 8种着色剂色谱分离

1-新红 2-柠檬黄 3-苋菜红 4-靛蓝 5-胭脂红 6-日落黄 7-亮蓝 8-赤藓红

(二)薄层色谱法

1.原理

水溶性酸性合成着色剂在酸性条件下被聚酰胺吸附,而在碱性条件下解吸附,再用纸色谱或薄层色谱法进行分离后,与标准比较定性、定量。最低检出量为50μg,点样量为1g,样品最低检出浓度约为50mg/kg。

2.试剂和溶液

2.1 石油醚 沸程60~90℃。

2.2 甲醇。

2.3 聚酰胺粉(尼龙6) 60~80目吸附着色剂用;100~140目薄层分析用。

2.4 硅胶G。

2.5 硫酸(1+10)。

2.6 甲醇-甲酸溶液(6+4)。

2.7 氢氧化钠溶液(50g/L)。

2.8 海沙 先用盐酸(1+10)煮沸15min,用水洗至中性,再用氢氧化钠溶液(50g/L)煮沸15min,用水洗至中性,再于105℃干燥,贮于具玻璃塞的瓶中,备用。

2.9 乙醇(50%)。

2.10 乙醇-氨溶液 取1mL氨水,加乙醇(70%)至100mL。

2.11 pH6的水 用柠檬酸溶液(20%)调节至pH6。

2.12 盐酸(1+10)。

2.13 柠檬酸溶液(200g/L)。

2.14 钨酸钠溶液(100g/L)。

2.15 碎瓷片 处理方法同2.8。

2.16 展开剂。

2.16.1 正丁醇-无水乙醇-氨水(1%)(6+2+3):供纸色谱用。

2.16.2 正丁醇-吡啶-氨水(1%)(6+3+4):供纸色谱用。

2.16.3 甲乙酮-丙酮-水(7+3+3):供纸色谱用。

2.16.4 甲醇-乙二胺-氨水(10+3+2):供薄层色谱用。

2.16.5 甲醇-氨水-乙醇(5+1+10):供薄层色谱用。

2.16.6 柠檬酸钠溶液(25g/L)-氨水-乙醇(8+1+2):供薄层色谱用。

2.17 合成着色剂标准溶液 按2.16方法,分别配制着色剂的标准溶液浓度为每毫升相当于1.0mg。

2.18 着色剂标准使用液 临用时吸取着色剂标准溶液各5.0mL,分别置于50mL容量瓶中,加pH6的水稀释至刻度。此溶液每毫升相当于0.10mg着色剂。

3.仪器

3.1 可见分光光度计。

3.2 微量注射器或血色素吸管。

3.3 展开槽 25cm×6cm×4cm。

3.4 层析缸。

3.5 滤纸 中速滤纸、纸色谱用。

3.6 薄层板 5cm×20cm。

3.7 电吹风机。

3.8 水泵。

4.操作步骤

4.1 样品处理。

4.1.1 果味水、果子露、汽水:称取50.0g样品于100mL烧杯中。汽水需加热驱除二氧化碳。

4.1.2 配制酒:称取100.0g样品于100mL烧杯中,加碎瓷片数块,加热驱除乙醇。

4.1.3 硬糖、蜜饯类、淀粉软糖:称取5.00或10.00g已粉碎的样品,加30mL水、温热溶解,若样液pH较高,用柠檬酸溶液(200g/L)调至pH4左右。

4.1.4 奶糖:称取10.0g已粉碎均匀的样品,加30mL乙醇-氨溶液溶解,置水浴上浓缩至约20mL,立即用硫酸溶液(1+10)调至微酸性再加1.0mL硫酸(1+10),加1mL钨酸钠溶液(100g/L),使蛋白质沉淀,过滤,用少量水洗涤,收集滤液。

4.1.5 蛋糕类:称取10.0g粉碎均匀的样品,加海沙少许,混匀,用热风吹干样品(用手摸已干燥即可以),加入30mL石油醚搅拌。放置片刻,倾出石油醚,如此重复处理3次,以除去脂肪,吹干后研细,全部倒入G3耐酸漏斗或普通漏斗中,用乙醇-氨溶液提取着色剂,直至着色剂全部提完,以下按4.1.4自“置水浴上浓缩至约20mL……”起依法操作。

4.2 吸附分离 将处理后所得的溶液加热至70℃,加入0.5~1.0g聚酰胺粉充分搅拌,用柠檬酸溶液(200g/L)调节pH至4,使着色剂完全被吸附,如溶液还有颜色,可以再加一些聚酰胺粉。将吸附着色剂的聚酰胺全部转入G3耐酸漏斗中过滤(如用G3漏斗过滤可以用水泵慢慢地抽滤),用pH4的70℃水反复洗涤,每次20mL,边洗边搅拌。若含有天然着色剂,再用甲醇-甲酸溶液洗涤1~3次,每次20mL,至洗液无色为止。再用70℃水多次洗涤至流出的溶液为中性。洗涤过程中必须充分搅拌。然后用乙醇-氨溶液分次解吸全部着色剂,收集全部解吸液。于水浴上除氨。如果为单色,则用水准确稀释至50mL,用分光光度法进行测定。如果为多种着色剂混合液,则进行纸色谱或薄层色谱法分离后测定,即将上述溶液置水浴上浓缩至2mL,后移入5mL容量瓶中,用乙醇(50%)洗涤容器,洗液并入容量瓶中并稀释至刻度。

4.3 定性。

4.3.1 纸色谱:取色谱用纸,在距底边2cm的起始线上分别点3~10μL样品溶液、1~2μL着色剂标准溶液,挂于分别盛有2.16.1和2.16.2的展开剂的层析缸中,用上行法展开,待溶剂前沿展至15cm处,将滤纸取出于空气中晾干,与标准斑比较定性。

也可取0.5mL样液,在起始线上从左到右点成条状,纸的左边点着着色剂标准溶液,依法展开,晾干后先定性后再供定量用。靛蓝在碱性条件下易褪色,可用2.16.3展开剂。

4.3.2 薄层色谱

4.3.2.1 薄层板的制备:称取1.6g聚酰胺粉、0.4g可溶性淀粉及2g硅胶G,置于合适的研钵中,加约15mL水研匀后,立即置涂布器中铺成厚度为0.3mm的板。在室温晾干后,于80℃干燥1h,置干燥器中备用。

4.3.2.2 点样:离板底边2cm处将0.5mL样液从左到右点成与底边平行的条状,板的左边点2μL着色剂标准溶液。

4.3.2.3 展开:苋菜红与胭脂红用2.16.4的展开剂,靛蓝与亮蓝用2.16.5的展开剂,柠檬黄与其他着色剂用2.16.6的展开剂。取适量展开剂倒入展开槽中,将薄层板放入展开,待着色剂明显分开后取出,晾干,与标准斑比较,如Rf相同,即为同一着色剂。

4.4 测定。

4.4.1 样品测定:将纸色谱的条状色斑剪下,用少量热水洗涤数次,洗液移入10mL比色管中,并加水稀释至刻度,作比色测定用。

将薄层色谱的条状色斑包括有扩散的部分,分别用刮刀刮下,移入漏斗中,用乙醇-氨溶液解吸着色剂,少量反复多次至解吸液于蒸发皿中,于水浴上挥发氨,移入10mL比色管中,加水至刻度,作比色用。

4.4.2 标准曲线的制备:分别吸取0.0,0.5mL,1.0mL,2.0mL,3.0mL,4.0mL胭脂红、苋菜红、柠檬黄、日落黄标准使用溶液,或0.0,0.2mL,0.4mL,0.6mL,0.8mL,1.0mL亮蓝、靛蓝色素标准使用溶液,分别置于10mL比色管中,各加水稀释至刻度。

上述样品与标准管分别用1cm比色杯,以零管调节零点于一定波长下(胭脂红510nm,苋菜红520nm,柠檬黄430nm,日落黄482nm,亮蓝627nm,靛蓝620nm),测定吸光度,分别绘制标准曲线比较或与标准色列目测比较。

5.分析结果的表述

式中 x——样品中着色剂的含量,g/kg

m1——测定用液中着色剂的质量,mg

V1——样品解吸后总体积,mL

V2——样液点板(纸)体积,mL

m2——样品质量(体积),g

结果的表述:报告算术平均值的2位有效数。

(三)微机极谱法

1.原理

苋菜红、胭脂红、柠檬黄、赤藓红、诱惑红和日落黄等着色剂在磷酸盐缓冲溶液中,于滴汞电极上可产生导数极谱波,亮蓝在乙酸盐缓冲溶液中,于滴汞电极上可产生导数极谱波,波高与着色剂的含量成正比。

2.试剂和溶液

2.1 底液A 磷酸盐缓冲液,可作苋菜红、胭脂红、柠檬黄、赤藓红、诱惑红和日落黄的测定底液。

称取13.6g无水磷酸二氢钾(KH2P04),14.1g无水磷酸氢二钠(Na2HPO4),10g氯化钠,加水至1L,摇匀。

2.2 底液B 乙酸盐缓冲液,可作亮蓝的测定底液。

量取57mL冰乙酸,加水约400mL,加入20g氢氧化钠,稀释至1L。

2.3 柠檬酸溶液 200g/L。

2.4 乙醇-氨溶液 取1mL浓氨水,加乙醇(70%)至100mL。

2.5 合成着色剂标准溶液 准确称取按其纯度计算为100%质量的苋菜红、胭脂红、柠檬黄、赤藓红、诱惑红、日落黄、亮蓝各0.100g,分别置于7个100mL容量瓶中,加水至刻度。配成水溶液(1.00mg/mL)。

2.6 合成着色剂标准使用溶液 各吸取上述标准溶液1.00mL,分别置于100mL容量瓶中,加水至刻度。此溶液1mL含10.0μg着色剂。

3.仪器

3.1 微机极谱仪一套(包括打印机)。

3.2 常用玻璃仪器。

4.测定方法

4.1 样品处理。

4.1.1 饮料:取一定量的饮料,用水稀释5~10倍(与合成着色剂标准使用溶液色泽深浅相近)。

4.1.2 表面着色的糖豆:称取5.0~10.0g样品,置于烧杯中,少量、分次用水洗,使其表面着色部分溶解,待糖果表面无色后弃去其余部分,合并洗下的着色剂液,定容至一定量(定容至与合成着色剂标准使用溶液色泽深浅相近。在测定时如果发现峰电位漂移不能测定时,按下面糖果样品处理)。

4.1.3 糖果:称取5.0g样品,加20mL水溶解后,用柠檬酸溶液调节pH4,加入约1g聚酰胺粉吸附着色剂,用漏斗过滤,弃去滤液,用pH=4的水(约100mL)洗去杂质,再用水洗至中性,然后用乙醇-氨溶液解吸附着色剂,滤液于水浴蒸至近干,加水溶解残渣,并定容至一定量。

4.2 测定。

4.2.1 极谱条件:滴汞电极,一阶导数、三电极制,初始电位为-0.2V(诱惑红为-0.3V),终止电位-0.9V(诱惑红为-1.3V),扫描速度250mV/s,参考峰电位:苋菜红-0.42V,日落黄-0.50V,柠檬黄-0.56V,胭脂红-0.69V,赤藓红-0.78V,诱惑红-0.57V,亮蓝-0.77V,靛蓝-0.46V。

4.2.2 标准曲线:吸取着色剂标准使用液0.0,0.50mL,1.00mL,2.00mL,3.00mL,4.00mL,5.00mL分别于10mL比色管中,各加入5.00mL底液(亮蓝用B液)、用水定容至10.0mL(浓度分别为0.0,0.5μg/mL,1.00μg/mL,2.00μg/mL,3.00μg/mL,4.00μg/mL,5.00μg/mL),混匀后,于微机极谱仪上测定。

4.2.3 样品测定:取样品处理液1~2mL或一定量,加底液5.00mL,加水至10.0mL,摇匀后与标准系列溶液同时、同条件测定。

5.分析结果的表述

式中 x——样品中着色剂浓度,g/L(kg)

ρx——样品测定液中着色剂浓度,μg/mL

m——样品质量(体积),g(mL)

V1——测定液中样品处理液的体积,mL

V2——样品稀释后的总体积,mL

结果的表述:报告算术平均值的2位有效数。

四、苋菜红铝色淀

Amaranth Aluminum Lake

苋菜红铝色淀为:展布于氧化铝水合物上的水溶性食品着色剂苋菜红的色淀。

苋菜红铝色淀的鉴别方法:

(1)取0.5g本品,溶于5mL浓盐酸中,置于500mL容量瓶中,加入0.1mol/LK2HPO4溶液至刻度,摇匀,吸取2mL置于50mL容量瓶中,再用0.1mol/LK2HPO4溶液至刻度,该溶液的最大吸收波长应为(520±2)nm。

(2)取0.1g本品,加入5mL盐酸(1+3),在水浴上加热约5min,时时摇动使之溶解,溶液澄清,呈黄色溶液,冷却,用氨水(1+2)中和,溶液逐渐变成紫外色胶状沉淀。

(3)取0.1g本品,加入5mL100g/LNaOH溶液,在水浴上加热5min,摇动使之溶解,呈紫红色澄清溶液,冷却,用盐酸(1+3)中和至中性,形成紫红色胶状沉淀。

随便看

 

文网收录3541549条中英文词条,其功能与新华字典、现代汉语词典、牛津高阶英汉词典等各类中英文词典类似,基本涵盖了全部常用中英文字词句的读音、释义及用法,是语言学习和写作的有利工具。

 

Copyright © 2004-2024 Ctoth.com All Rights Reserved
京ICP备2021023879号 更新时间:2025/10/18 14:30:36