网站首页  词典首页

请输入您要查询的字词:

 

字词 蒸发器设计
类别 中英文字词句释义及详细解析
释义

蒸发器设计


(一)考虑因数和设计步骤(表16-61)

表16-61 考虑因数和设计步骤

(二)单效蒸发器的计算(图16-4)

图16-4 单效蒸发器示意图

T-加热蒸汽冷凝液的饱和温度(℃); T′-二次蒸汽温度(℃);t0-原料液的温度(℃); ti-溶液的沸点

1.蒸发器的物料衡算

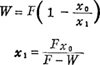
Fx0=(F-W)x1

蒸发量及完成液的浓度,即:

式中 F——进料量(kg/h);

W——蒸发量(kg/h);

x0——原料液中溶质的质量分率;

x1——完成液中溶质的质量分率。

2.蒸发器的焓衡算

DH+Fh0=WH′+(F-W)h1-FhW+QL

或 Q=D(H-hW)=WH′+(F-W)h1-Fh0+QL

式中 D——加热蒸气消耗量(kg/h);

H——加热蒸气的焓(kJ/kg);

h0——原料液的焓(kJ/kg);

hW——冷凝水的焓(kJ/kg);

QL——蒸发器的热损失(kJ/h);

Q——蒸发器的热负荷或传热速率(kJ/h);

H′——二次蒸汽的焓(kJ/kg);

h1——完成液的焓(kJ/kg)。

3.蒸发器的传热面积

式中 S——蒸发器的传热面积(m2);

K——蒸发器的总传热系数(W/m2·℃);

△tm——传热的平均温度差(℃);

Q——蒸发器的热负荷(或传热速率)。

表16-62 蒸发器的总传热系数K值

4.蒸发器的生产能力和生产强度

(1)蒸发器的生产能力:

Q=KS△t=KS(T-t1)

(2)蒸发器的生产强度:

式中r′为二次蒸气的汽化潜热(kJ/kg)。

(三)多效蒸发

1.多效蒸发器的计算

(1)多效蒸发器的物料衡算

整个蒸发系统溶质的物料衡算:

Fx0=(F-W)xn

对任一效作溶质的物料衡算,得

Fx0=(F-W1-W2-…-W1)xi i≥2

(2)多效蒸发器的热量衡算

Fh0+D1(H1-hW)=(F1-W1)h1+W1H1

第i效:

Qi=Diri

=(FP0-W1CPW-W2CPW-…-Wi-1CPW)(ti-ti-1)+Wiri

式中 Di=Wi-1;ri=r′i-1;Qi=Wi1·r′i1

各效的传热面积为:

式中 ;Q3=W2r′2;△t1=T1-t1

△t2=T2-t2=T1′-t2;△t3=T3-t3=T2′-t3

2.多效蒸发的计算步骤

多效蒸发的计算一般采用试算法。

(1)估计各效溶液的浓度

(2)初步确定各溶液的沸点

(3)求各效的蒸发量和传热量。根据蒸发系统的热量衡算,求各效的蒸发量和传热量。

(4)求各效的传热面积。根据传热速率方程计算各效的传热面积。

(四)几种常用加热管管距(表16-63)

表16-63 几种常用加热管的推荐管间距

随便看

 

文网收录3541549条中英文词条,其功能与新华字典、现代汉语词典、牛津高阶英汉词典等各类中英文词典类似,基本涵盖了全部常用中英文字词句的读音、释义及用法,是语言学习和写作的有利工具。

 

Copyright © 2004-2024 Ctoth.com All Rights Reserved
京ICP备2021023879号 更新时间:2026/3/12 22:47:16