网站首页  词典首页

请输入您要查询的字词:

 

字词 衡量精度的标准
类别 中英文字词句释义及详细解析
释义

衡量精度的标准


衡量观测值精度高低必须建立一个统一衡量精度的标准,主要有:

1.中误差

先来考察下面的例子。

甲、乙两人,各自在相同精度条件下对某一三角形的三个内角观测10次,算得三角形闭合差△i如下:

甲:+30,-20,-40,+20,0,-40,+30,+20,-30,-10

乙:+10,-10,-60,+20,+20,+30,-50,0,+30,-10

上列数据单位均为秒,哪个观测精度高?

我们很自然地可以想到,甲、乙两人平均的真误差有多少?按真误差的绝对值总和取平均,即

用平均误差衡量结果是:θ。但是,乙组观测列中有较大的观测误差,乙组观测精度应该低于甲组,但计算平均误差θ反映不出来,所以平均误差θ衡量观测值的精度是不可靠的。

根据数理统计推导可知:某组观测值的中误差m可用下式计算

式中 [△△]——各偶然误差平方和;

n——偶然误差的个数。

m表示该组观测值的误差,表示任意一个观测值的中误差,并非一组观测值的平均误差,m可以代表该组中任何一个观测值的误差。根据数理统计推导可知,偶然误差与其出现次数的关系呈正态分布,其曲线拐点的横坐标△等于中误差m,如图6-1所示,这就是中误差的几何意义。

图6-1 偶然误差呈正态分布曲线

上述例子用中误差公式计算得:

m=±27″,表示甲组中任意一个观测值的误差。

m=±30″,表示乙组中任意一个观测值的误差。甲组观测值的精度较乙组高。

当观测值的真值未知时,首先计算多次观测值l1,l2,l3,…,ln的算术平均值。即

此时,用来衡量观测值中误差的计算公式,根据推导为

上式又称贝塞尔公式。式中v为观测值的似真误差,即各观测值li与算术平均值x之差:

v1=l1-x,v2=l2-x,…,vn=ln-x

[vv]为似真误差的平方和,即

2.相对误差

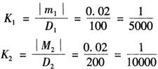
对于衡量精度来说,有时单靠中误差还不能完全表达观测结果的质量。例如,测得某两段距离,第一段长100m,第二段长200m,观测值的中误差均为±0.02m。从中误差的大小来看,两者精度相同,但从常识来判断,两者的精度并不相同。第二段量距精度高于第一段,这时应采用另一种衡量精度的标准,即相对误差。

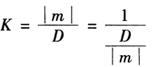
相对误差是误差的绝对值与观测值之比,在测量上通常将其分子化为1的分子式,即

式中 K——相对误差。

上例中:

显然,用相对误差衡量可以看出,K1>K2。相对中误差愈小,即分母愈大,说明观测结果的精度愈高,反之愈低。求K的式中分子可以用中误差、距离往返较差、闭合差等,此时相对误差计算式为:

相对中误差常用在距离与坐标误差的计算中。角度误差不用相对中误差,因角度误差与角度本身大小无关。

3.极限误差

由偶然误差的第一特性可知,在一定的观测条件下,偶然误差的绝对值不会超过一定的限度。由数理统计和误差理论可知,在大量等精度观测中,偶然误差绝对值大于一倍中误差出现的概率为32%;大于两倍中误差出现的概率仅为4.6%;大于三倍中误差的出现的概率仅为0.3%。因此,在实际测量中观测次数很有限,绝对值大于2m或3m的误差出现机会很小,故取两倍或三倍中误差作为容许误差(多采用2m),即

=±2m或△=±3m

如果观测值超出了上述限值的偶然误差,可视该观测值不可靠或出现了错误,应舍去不用。

随便看

 

文网收录3541549条中英文词条,其功能与新华字典、现代汉语词典、牛津高阶英汉词典等各类中英文词典类似,基本涵盖了全部常用中英文字词句的读音、释义及用法,是语言学习和写作的有利工具。

 

Copyright © 2004-2024 Ctoth.com All Rights Reserved
京ICP备2021023879号 更新时间:2025/10/17 9:02:14