网站首页  词典首页

请输入您要查询的字词:

 

字词 计数序贯抽样检验方案
类别 中英文字词句释义及详细解析
释义

计数序贯抽样检验方案


计数标准型抽样方案(n|c),其中样本大小n为一固定数,一直要等到抽取并检验完n件样品后才能作出判断。然而,采用计数序贯抽样检验方案,有时当抽检到k(k<n)件就完全可以判断了,后面n-k件的抽检纯属多余。

序贯抽检不预先规定样本大小,每抽检一件后,利用它与前面所抽检的几件的信息联合起来考虑,得到结论:是拒收还是接收或继续往下抽样。这种抽样方法对检验费用昂贵或检验带破坏性的情形是实用的,即使不属于上面两种情形的某些检验,也可应用序贯抽检方法。由于它的平均样本大小比一次、二次抽检的样本大小还要小,所以,从长期来看,它是节省人力物力的一种好的抽检方法。

(1)计数序贯抽检方案。以dn表示已抽检的n件样品中不合格品个数。当P=P1时,则抽检的n件样品(X1,X2,…Xn)出现dn不合格品的概率为:

当P=P0时,则抽检的n件样品(X1,X2,…Xn)出现dn不合格品的概率为:

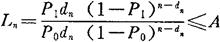
设Ln=L(P1)/L(P0),于是

不难理解,当L(P1)相对L(P0)大,即比值L(P1)/L(P0)较大时,样本(X1,X2,…Xn)所属的批的不合格品率为P1的可能性大,而当L(P1)/L(P0)大到一定程度时,就可认为这批产品的不合格品率P=P1,从而判定批产品不合格,应拒收;当比值L(P1)/L(P0)小到一定程度时,可认为这批产品的不合格品率P=P0,从而判定此批产品合格,应接收。

究竟比值L(P1)/L(P0)大到什么程度时可以拒收,又小到什么程度时可以接收呢?可以证明,当比值时,拒收;当比值,接收;当时,继续抽检下一件。

(2)抽检具体步骤:

第一,计算

第二,抽检完第一件样品后,由d1=0或d1=1算出:

如果L1≤A,则接收此批产品;

如果L1≥B,则拒收此批产品;

如果A<L1<B,则继续抽检下一件。

第三,当A<L1<B时,再抽取第二件产品计算出:

L2=L(P1)/L(P0)=P1d2(1-P1)n-d2/P0d2(1-P0)n-d2

如果L2≤A,则接收;

如果L2≥B,则拒收;

如果A<L2<B,则继续抽检下一件。

照此做下去,直到能作出接收与拒收的判断为止。

(3)计数序贯抽检方案的图形表示,见图9-1。

图9-1 序贯抽检图

上面(2)的抽检具体步骤,每抽一件都必须计算L,很不方便,必须加以改进。而方案的图形表示就很实用。

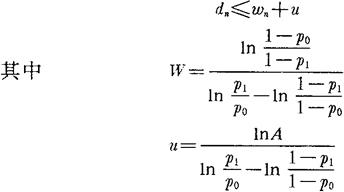
第一,第n次抽检后的接收情形是:

两边取对数并化简得:

第二,第n次抽检后拒收情形,同理可得

w的定义同前。

第三,将坐标的横轴取为n轴,纵轴取为dn轴,则dn≤Wn+u表示斜率为u的直线dn=wn+u以下的平面部分(接收区);dn≥Wn+v表示斜率为w的直线dn=wn+v以上的平面部分(拒收区)。将二直线的图9-1作出,于是此方案变得非常简单:当坐标点(n,d)落在接收区时,则接收此批产品;当(n,d)落在拒收区时,则拒收此批产品;当(n,d)落在继续抽检区时,则继续抽检第(n+1)件产品。

会不会没完没了的往下抽样而始终得不到判断呢?从理论上可以证明.这种情形发生的概率为0。万一继续抽检的样本大小n已达到一次抽检方案中样本大小的3倍,还不能得到判断时,则截止抽样,由双方协商按具体情形作出接收或拒收的决定。

例:设有一批产品需检验,规定p0=0.02,p1=0.20,α=0.05,β=0.10,求适合此规定的序贯抽捡方案。

合格与不合格判定线分别为

dn=0.81n-0.899

dn=0.081n+1.154

相应的,接收区为

dn≤0.081n-0.899

拒收区为

dn≥0.081n+1.154

继续抽检区为

0.081n-0.899<dn<0.081n+1.154

随便看

 

文网收录3541549条中英文词条,其功能与新华字典、现代汉语词典、牛津高阶英汉词典等各类中英文词典类似,基本涵盖了全部常用中英文字词句的读音、释义及用法,是语言学习和写作的有利工具。

 

Copyright © 2004-2024 Ctoth.com All Rights Reserved
京ICP备2021023879号 更新时间:2026/4/26 17:50:22