网站首页  词典首页

请输入您要查询的字词:

 

字词 计算负荷的确定
类别 中英文字词句释义及详细解析
释义

计算负荷的确定


工厂企业的变、配电所运行时的实际负荷不等于所有用电设备的额定负荷之和。因此在选择电气设备之前,必须确定一个假想负荷,以便按此负荷满足发热条件来选择电气设备,此假设负荷称为计算负荷,用P30表示。一般用需要系数法和二项式系数法来确定计算负荷。

1.单个用电设备的计算负荷

对于单台电动机,供电线路在半小时内出现的最大平均负荷即计算负荷,即:

式中 P30——计算负荷(W);

PN——电动机的额定功率(W);

ηN——电动机在额定负荷下的效率。

对于单个白炽灯、单台电热器、电炉变压器等设备的额定功率就作为其计算负荷,即:

P30=PN (6-7)

对于单台短时工作制的电气设备,其设备容量就为其计算负荷。

对于单台反复短时工作制的电气设备,如起重机、电焊机等要根据负荷持续率换算后的设备容量作为计算负荷。

2.用需要系数法确定用电设备组的计算负荷

同一类型工厂企业的负荷曲线具有大致相似的形状。因此把负荷曲线最大有功功率和额定有功功率之比定义为需要系数,即:

式中 Kx——需要系数;

Pmax——负荷曲线最大有功功率(W);

PN——用电设备的额定有功功率(W)。

(1)需要系数法的基本计算

其基本计算为:

P30=KxPe (6-9)

式中 P30——计算负荷(W);

Pe——设备容量,为用电设备组所有设备容量之和(W);

Pe1——每组用电设备的设备容量;

Kx——需要系数。

用电设备组的需要系数Kx查表1-23。

(2)单组用电设备组计算负荷的确定

有功计算负荷

P30=KxPe (6-11)

无功计算负荷

Q30=P30tanφ (6-12)

视在计算负荷

计算电流

式中 P30——有功计算负荷(W);

Q30——无功计算负荷(W);

S30——视在计算负荷(W);

UN——设备额定电压(V);

I30——计算电流(A);

tanφ——与平均功率因数角相对应的正切值;

Pe——设备容量,为用电设备组所有设备容量之和;

Kx——需要系数。

(3)多组用电设备组计算负荷的确定

各组用电设备的最大负荷不可能同时出现,因此在确定多组用电设备组的计算负荷时,应引入一个同时系数,用符号K表示。同时系数K的取值见表6-2。

表6-2 同时系数K

先分别求出各组用电设备组的计算负荷,再结合不同情况求出总的计算负荷。

总的有功计算负荷

总的无功计算负荷

总的视在计算负荷

总的计算电流

式中 P301——各组用电设备的有功计算负荷(W);

Q301——各组用电设备的无功计算负荷(W)。

[例6-2] 用需要系数法计算例6-1车间的计算负荷。

[解] 金属切削机床组的计算负荷

查表1-23,取需要系数,功率因数、正切值为:Kx=0.2,cosφ=0.5,tanφ=1.73。

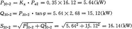
电焊机组的计算负荷

查表1-23,取需要系数、功率因数、正切值为:Kx=0.35,cosφ=0.35,tanφ=2.68。

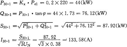
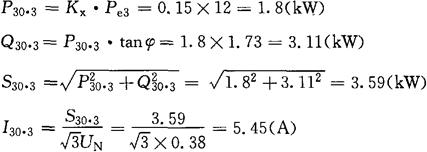
起重机(吊车)组的计算负荷

查表1-23,取需要系数、功率因数、正切值为:Kx=0.15,cosφ=0.5,tanφ=1.73。

全车间总的计算负荷

查表6-2,取同时系数K=0.8。

3.用二项式系数法确定用电设备组的计算负荷

在确定设备台数不多,而且各台设备容量相差较大的车间干线和配电箱的计算电荷时,宜采用二项式系数法。

(1)单组用电设备组计算负荷的确定

有功计算负荷

P30=bPe+cPn (6-19)

式中 b、c——二项式系数,根据设备名称、类型、台数查表1-23选取;

P30——有功计算负荷(W);

bPe——用电设备组的平均负荷,其中Pe为用电设备组的设备总容量(W);

Pn——用电设备中n台容量最大的设备容量之和。cPn指用电设备中n台容量最大的设备投入运行时增加的附加负荷(W)。

对1台或2台用电设备可认为:

P30=Pe (6-20)

即b=1,c=0

无功计算负荷

Q30=P30tanφ (6-21)

式中 Q30——无功计算负荷(W);

P30——有功计算负荷(W);

tanφ——与平均功率角相对应的正切值。

视在计算负荷

式中 S30——视在计算负荷(W)。

计算电流

式中 I30——计算电流(A);

UN——设备额定电压(V)。

[例6-3] 用二项式系数法确定例6-1车间中金属切削机床组的计算负荷。

[解] 查表1-23,取二项式系数b=0.14,c=0.4,n=5,cosφ=0.5,tan=1.73。

(2)多组用电设备组计算负荷的确定

各组用电设备的最大负荷不可能同时出现,因此在确定多组用电设备组计算负荷时,在各用电设备组中取出其中一组最大的附加负荷(cPn)max,再加上各组平均负荷bPe

先分别求出各组用电设备组的计算负荷,再结合不同情况求出总的计算负荷。

总的有功计算负荷

总的无功计算负荷

总的视在计算负荷

总的计算电流

式中 (cPn)max——各组cPn中最大的一组附加负荷(W);

∑(bPe)1——各用电设备组平均负荷b·Pn的总和(W);

tanφ——与平均功率因数角相对的正切值;

tanφmax——最大附加负荷(cPn)max的设备组的tanφ。

[例6-4] 用二项式系数法确定例6-1车间的计算负荷。

[解] 金属机床组的计算负荷

查表1-23,取二项式系数b=0.14,c=0.4,n=5,cosφ=0.5,tanφ=1.73。

(bPe1)1=0.14×220=30.8(kW)

(cPn)1=0.4×10×5=20(kW)

电焊机组的计算负荷

查表1-23,取二项式系数b=0.7,c=0,n=1,cosφ=0.35,tanφ=2.68。

(bPe2)2=0.7×16.12=11.28(kW)

(cPn)2=0

起重机(吊车)组的计算负荷

查表1-23,取二项式系数b=0.06,c=0.3,n=3,cosφ=0.5,tanφ=1.73。

(bPe3)3=0.06×12=0.72(kW)

(cPn)3=0.3×12=3.6(kW)

由以上计算得知,三组用电设备中,第一组的附加负荷(cPn)1最大,因此车间总的计算负荷为:

由上述例6-1,例6-4计算得知,由于二项式系数法考虑了用电设备中几台功率较大的设备工作时对负荷影响的附加功率,计算的结果偏大,所以适用于低压配电支干线和配电箱的计算负荷的计算。

需要系数法比较简单,它是按照车间及以上的负荷情况来确定的,故适用于变配电所计算负荷的计算。

4.单相用电设备计算负荷的确定

单相设备在三相线路中,应均衡分配,使三相负荷尽可能平衡。当均衡分配后,三相线路中剩余的单相设备总容量不超过三相设备总容量的15%,可以将单相设备总容量视为三相负荷平衡进行负荷计算。如果超过15%,则应将这部分单相设备容量换算等效三相设备容量,再进行负荷计算。

(1)单相设备接于相电压时

等效三相设备容量按最大负荷相所接的单相设备容量的3倍计算,即:

Pe=3Pemφ (6-28)

式中 Pe——等效三相设备容量(W);

Pemφ——最大负荷相所接的单相设备容量(W)。

等效三相计算负荷可按前述需要系数法确定。

(2)单相设备接于线电压时

等效三相设备容量按接于线电压的单相设备容量的倍计算,即:

式中 Pe——等效三相设备容量(W);

P——接于线电压的单相设备容量(W)。

等效三相计算负荷可按前述需要系数法确定。

5.用需要系数法确定全厂的计算负荷

将全厂用电设备总容量乘以全厂负荷的需要系数即可确定全厂的计算负荷。

全厂有功、无功、视在计算负荷及计算电流 (6-30)

Q30=P30tanφ (6-31)

式中 P30——全厂有功计算负荷(W);

Q30——全厂无功计算负荷(W);

S30——全厂视在计算负荷(W);

I30——计算电流(A);——全厂负荷的需要系数,其值可由表6-3选取。

表6-3 全厂负荷的需要系数及功率因数

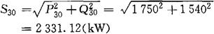
[例6-5] 已知有一个一班制电器开关制造厂,其用电设备容量为5000kW,额定电压为380V,试确定该厂的计算负荷。

[解] 查表6-3取K′x=0.35,cosφ=0.75,因表6-3中未列tanφ,故tanφ=tan(cos-10.75)=0.88。

全厂有功计算负荷

全厂无功计算负荷

Q30=P30tanφ=1750×0.88=1540(kW)

全厂视在计算负荷

全厂计算电流

随便看

 

文网收录3541549条中英文词条,其功能与新华字典、现代汉语词典、牛津高阶英汉词典等各类中英文词典类似,基本涵盖了全部常用中英文字词句的读音、释义及用法,是语言学习和写作的有利工具。

 

Copyright © 2004-2024 Ctoth.com All Rights Reserved
京ICP备2021023879号 更新时间:2025/10/18 10:38:00