别名 1-(4′-磺基-3′-甲基-6′-甲氧基-苯偶氮)-2-萘酚二磺酸二钠盐、C.I.食用红色17号、FD&C40号红色(美)、食用赤色40号(日)
编码 GB 08.012;INS 129;C.I.(1975)16035
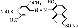
化学结构

C18H14N2Na2O8S2 相对分子质量 496.43
性状 深红色均匀粉末,无臭。溶于水,呈微带黄色的红色溶液。可溶于甘油与丙二醇,微溶于乙醇,不溶于油脂。耐光、耐热性强,耐碱及耐氧化还原性差。
制法 2-甲基-4-氨基-5-甲氧基苯磺酸重氮化后与2-萘酚-6-磺酸钠偶合。
质量标准


*6-羟基-5-[(2-甲氧基-5-甲基-4-磺苯基)偶氮]-8-(2-甲氧基-5-甲基-4-磺苯氧基)-2-萘磺酸二钠。
鉴别方法
(1)0.1g本品溶于100mL水中,呈微带黄光的红色澄清溶液。
(2)本品微溶于乙醇,不溶于油脂,具有酸性染料的特性,能使动物纤维着色。
(3)100mL含有0.001g本品的0.02mol/L乙酸铵溶液,具有最大吸收的波长为499±2nm。
(4)取本品水溶液做纸上层析,其主色点的Rf值应与标准样品相同。
纸上层析条件:
展开剂 正丁醇∶无水乙醇∶氨水(1%)=6∶2∶3
温度 20~25℃
试液浓度 0.1g/100mL
试液用量 0.002mL
展开剂前沿上升限度 150mm
毒理学依据
1.LD50 小鼠口服10g/kg(bw)(FAO/WHO,1985)
2.ADI 0~7mg/kg(bw)(FAO/WHO,1994)
使用 着色剂。
1.使用注意事项 参见苋菜红。
2.使用范围及使用量 我国《食品添加剂使用卫生标准》(GB2760-1996)规定:可用于糖果包衣,最大使用量0.085g/kg;用于冰淇淋、雪糕、苹果干、燕麦片(调香、调色载体)、可可玉米片(即食早餐谷类食品)为0.07g/kg;用于炸鸡调料为0.04g/kg;用于冰棍、糖果、糕点彩装、红绿丝、染色樱桃罐头、红肠肠衣、果汁饮料、果汁酒(色淀除外),最大用量0.05g/kg;用于果汁(味)型饮料、碳酸饮料,最大用量0.1g/kg;用于固体饮料,0.6g/kg;用于果冻粉、固体饮料,0.025g/kg(按稀释6倍计)。