网站首页  词典首页

请输入您要查询的字词:

 

字词 财务评价盈利能力指标
类别 中英文字词句释义及详细解析
释义

财务评价盈利能力指标


项目的财务评价主要有:基准收益率(%)、基准投资回收期(年)、平均投资利润率(%)、平均投资利税率(%)四项。食品行业的财务评价参数为:

行业财务基准收益率是各行业项目评价财务内部收益率指标的基准判据,也是计算财务净现值指标的折现率。代表投资资金应当获得的最低财务盈利水平,或投资资金的边际收益率。

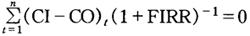
(1)财务内部收益率(FIRR) 为动态指标,其表达式为:

式中 CI——现金流入量

CO——现金流出量

(CI—CO)t——第t年的净现金流量

n——计算期

在财务评价中,通过财务现金流量表求出全部投资或自有资金(投资者的实际出资)的财务内部收益率(FIRR)与基准收益率或设定的折现率(ic)比较,当FIRR≥ic时,可以认为盈利能力已满足最低要求,在财务上可以考虑接受。

根据以上财务现金流量表取基准收益率或设定的折现率(ic),将各年净现金流量折现到建设期初的现值之和,求得动态指标财务净现值。项目可行的财务净现值应大于等于零。其表达式为:

(2)基准投资回收期(Pc) 是各行业项目财务评价投资回收期指标的基准判据,在项目财务评价中要求项目的投资回收期小于或等于行业基准投资回收期;否则,表示项目未满足行业项目投资盈利性和风险性要求。

通过财务现金流量表(全部投资)中累计净现金流量计算求得静态指标投资回收期(Pt)。计算公式为:

投资回收期(Pt)=(累计净现金流量开始为正值的年份-1)+(上年累计净现金流量的绝对值÷当年净现金流量)

在财务评价中,求出的投资回收期(Pt)与基准投资回收期(Pc)比较,当Pt≤Pc时,表明项目投资能在规定的时间内收回。

(3)平均投资利润率 是年利润总额与项目投资总额的比率,是考察项目投资盈利能力的静态指标。公式为:平均投资利润率=(年平均利润总额÷投资总额)×100%

其中:投资总额=建设投资(包括固定资产投资+投资方向调节税+建设期利息)+流动资金

(4)平均投资利税率 平均投资利税率=(年平均利税总额÷投资总额)×100%

其中:年利税总额=年利润总额+年销售税金(包括增值税、消费税、城市维护建设税、教育费附加等)

在财务评价中,将投资利税率与行业平均投资利税率对比,以判别单位投资对国家积累的贡献水平是否达到行业平均水平。

平均投资利润率、平均投资利税率作为财务评价的参考依据,不作为是否达到最低要求的判据。

(5)资本金利润率 资本金利润率=(年平均利润总额÷资本金)×100%

资本金利润率反映资本金的盈利能力。

随便看

 

文网收录3541549条中英文词条,其功能与新华字典、现代汉语词典、牛津高阶英汉词典等各类中英文词典类似,基本涵盖了全部常用中英文字词句的读音、释义及用法,是语言学习和写作的有利工具。

 

Copyright © 2004-2024 Ctoth.com All Rights Reserved
京ICP备2021023879号 更新时间:2026/4/17 21:22:27