网站首页  词典首页

请输入您要查询的字词:

 

字词 购买力增长速度
类别 中英文字词句释义及详细解析
释义

购买力增长速度


一定时期内(通常若干年)全社会或一定地区社会购买力的年平均增长速度。

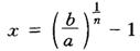
购买力增长速度可以计算。设某地区某年度社会购买力为a,每年以x的速度增长,n年之后,社会购买力为b,则购买力增长速度的计算公式为:

在经济、社会局势正常条件下,社会购买力增长速度一般比较稳定。如果知道过去若干年的社会购买力增长速度,就可以推算出若干年后的社会购买力。国家可以以此为依据,正确编制国民经济计划,适当安排积累和消费比例,合理组织市场商品供给,不断满足人民群众物质和文化生活的需要。

随便看

 

文网收录3541549条中英文词条,其功能与新华字典、现代汉语词典、牛津高阶英汉词典等各类中英文词典类似,基本涵盖了全部常用中英文字词句的读音、释义及用法,是语言学习和写作的有利工具。

 

Copyright © 2004-2024 Ctoth.com All Rights Reserved
京ICP备2021023879号 更新时间:2025/10/17 21:26:25