网站首页  词典首页

请输入您要查询的字词:

 

字词 轻混凝土材料用量计算
类别 中英文字词句释义及详细解析
释义

轻混凝土材料用量计算


凡小于1900kg/m3的混凝土称为轻混凝土。具有保温隔热、吸声及抗震性能较好的特点。轻混凝土按其组成成分为轻骨料混凝土、多孔混凝土、大孔混凝土三种类型。

轻骨料密实混凝土属于传统的密实普通混凝土范畴。只是用较轻的蜂窝状或微孔结构的骨料来代替普通骨料而已。其轻骨料品种繁多,如各种陶粒(粘土陶粒、粉煤灰陶粒、页岩陶粒)、碎砖、炉渣、珍珠岩、浮石、蛭石、膨胀聚苯乙烯等。

多孔混凝土是砂浆和胶凝材料中存在着孔隙,如泡沫混凝土、加气混凝土等。

大孔混凝土因骨料之间存在孔隙(有时在骨料内部也存在孔隙),如无砂大孔混凝土、少砂大孔混凝土等。

轻骨料混凝土:轻骨料混凝土配合比基本参数的确定如下:

(1)水泥抗压强度及用量

不同的混凝土强度等级的水泥抗压强度及水泥用量如表5-10

表5-10 不同强度轻混凝土的水泥强度和水泥用量

注:(1)表中的水泥用量下限值适用于圆球型(如粉煤灰陶粒、粘土陶粒)等、普通型(如页岩陶粒,膨胀珍珠岩)的粗集料;上限适用于碎石型(如浮石、膨胀矿渣等)的粗集料;采用轻砂时,水泥用量宜采用表中的上限值。

(2)轻集料混凝土的最大水泥用量不限超过550kg/m3

(2)用水量及有效水灰比

每立方米混凝土的总用水量中减去干轻骨料1小时吸水量后的净用水量称为有效用水量,其有效用水量根据混合料和易性要求按表5-11选用。

表5-11 轻骨料混凝土的有效用水量

注:(1)表中数值适用于圆珠型和普通型粗骨料,对于碎石型粗骨料须按表中数值增加10千克左右的水。

(2)所用的砂为普通砂。

(3)轻骨料混凝土的砂率

砂率大小对施工和易性影响较大,轻骨料混凝土砂率选择可参见表5-12进行。

表5-12 轻骨料混凝土的砂率

〔计算例〕 采用C13(150号)粉煤灰陶粒混凝土制作大型墙板,机械振捣成型。选用31.88兆帕(325号)硅酸盐水泥,粉煤灰陶粒松散容重为690kg/m3,1小时吸水量(质量比)为15%,普通砂松散容重为1550kg/m3,试计算材料用量。

解:选用水泥用量按表5-10为300kg/m3,根据施工条件,有效用水量按表5-11为160kg/m3,细骨料的总体积为1.40kg/m3,砂率按表5-12选用30%。则轻骨料混凝土配合比为:

砂用量=1.40×0.30=0.42m3

砂重=0.42×1550=651kg

陶粒用量=1.40-0.42=0.93m3

陶粒重=0.98×690=675kg

附加水量=675×0.15=101kg

总用水量=160+101=261kg

粉煤灰陶粒混凝土单位重量比为:

多孔混凝土 泡沫混凝土是用机械方法将泡沫剂水溶液制成泡沫,再将泡沫加入含硅材料(砂、粉煤灰)、钙质材料(石灰、水泥)、水及附加剂组成的料浆中,经混合搅拌、浇注成型、蒸气养护而成的轻质多孔混凝土。

泡沫混凝土保温性能好,容重轻,如无筋泡沫混凝+容重分为300、400、500kg/m3。其材料用量计算公式为

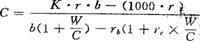
①水泥用量计算公式

式中 C-1m3泡沫混凝土的水泥用量;

rc-水泥密度(计算采用3.1);

-水灰比(计算采用0.55);

b-泡沫剂发泡倍数(计算采用15);

K-泡沫泥浆的过剩水系数(计算采用1.25);

r-泡沫混凝土干容重;

rb-泡沫剂密度(计算采用1.007)。

按上述公式计算所得水泥用量如下表:

表5-13

考虑到实际施工时水泥损耗及由于运输浇注等损耗因素,根据泡沫混凝土不同容重,乘以系数,一般按如下确定:

300kg/m3,水泥用量=206.5×1.20=247.8kg

400kg/m3,水泥用量=290.4×1.20=348.5kg

500kg/m3,水泥用量=374.2×1.15=430.3kg

②用水量计算式

水泥的用水量可用水灰比求得,一般水灰比为0.4-0.6,浓缩泡沫剂加温水溶成泡沫剂,为1∶4-1∶2,稀泡沫剂加冷水为1∶7-1∶12,如采用水灰比为0.55,则用水量的计算公式:

式中 W-用水量;C-水泥量。

按上式求得用水量如下表:

表5-14

泡沫剂加温水采用1∶4,即0.80×4=3.20kg

稀泡沫剂加冷水采用1∶10,即3.20×10=32kg

用水量计算结果如下表:

表5-15

③浓缩泡沫剂用量计算式

根据实验资料,每立方米泡沫混凝土需用浓缩泡沫剂0.80千克。浓缩泡沫剂每千克所用的各种材料,根据化学试验分析,求得如下计算公式:

式中的胶量为2.1,水为1.4,松香为1,碱液为1.14(密度1.14)。

〔计算例〕 如下:

根据以上计算泡沫剂各种材料,折成每立方米泡沫混凝土所需用量为:

胶用量=0.372×0.8=0.298kg

松香用量=0.177×0.8=0.142kg

碱液用量=0.202×0.8=0.162kg

随便看

 

文网收录3541549条中英文词条,其功能与新华字典、现代汉语词典、牛津高阶英汉词典等各类中英文词典类似,基本涵盖了全部常用中英文字词句的读音、释义及用法,是语言学习和写作的有利工具。

 

Copyright © 2004-2024 Ctoth.com All Rights Reserved
京ICP备2021023879号 更新时间:2026/1/16 11:06:09