(一)适用范围 土壤还原性物质用0.1mol Al2(SO4)3溶液浸提,浸出液在高温(95-100℃)条件下能被K2Cr2O7氧化者,统称为还原性物质总量。
本法适用于新鲜土样,特别是还原性土壤。室内淹水培育的土样也同样适用。
(二)试剂配制
1.0.1mol Al2(SO4)3溶液(pH2.5) 溶解66.6g〔Al2(SO4)3·18H2O〕或34.2g硫酸铝〔Al2(SO4)3〕于适量水中,加水定容至1L。由于市售的硫酸铝试剂含有不同量的杂质,所以0.1mol Al2(SO4)3溶液的pH可变动在1.5-1.9。需用NaOH调节到pH2.5。另外需做空白试验,检验试剂中的还原性物质的含量。
2.0.0200NK2Cr2O7溶液 称取0.9806g经过120℃烘2-3h的K2Cr2O7(二级纯)溶于水中,定容到1L。
3.邻菲啰啉试剂 同第八章四、中的试剂配制。
4.1∶1H2SO4溶液。
5.0.02N FeSO4溶液 称取5.56gFeSO4·7H2O(三级纯)或7.84g(NH4)2Fe(SO4)2·6H2O溶于30ml6NH2SO4中,加水定容到1L。
(三)测定步骤 待测液制备:称取相当于约10.00g干土的新鲜土样于三角瓶中,加入Al2(SO4)3浸提剂200.0ml,摇匀,放置5min后用干滤纸过滤,并立即进行测定。
吸取浸出液5.00-25.00ml(视土壤中还原性物质的多少而定),置于150ml三角瓶中,加0.0200N K2Cr2O7溶液20ml和1∶1H2SO45ml,加水使总体积约为50ml。瓶口加盖小漏斗,在95℃以上水浴上加热20min。加热后的溶液颜色仍应是橙黄或绿黄色;如果以绿色为主,则应弃去,另吸取较少浸出液重做。冷却后,加邻菲啰啉指示剂2滴,用0.02N FeSO4溶液滴定,溶液由黄色经过绿色突变到棕红色为终点。同时进行空白标定。
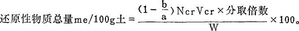
(四)结果计算

式中:a——空白标定时消耗FeSO4溶液的毫升数;
b——试液滴定时消耗FeSO4溶液毫升数;
Ncr和Vcr——K2Cr2O7标准溶液的当量浓度和加入的毫升数;
W——新鲜土样相当于风干土的重量(g);
分取倍数——浸出液毫升数/吸取浸出液毫升数。
两次平行测定结果允许差为0.05-0.10me/100g土。
(五)注释 吸取的浸出液中还原性物质太多时,Cr2O72-将全被还原成Cr3+,溶液明显呈绿色。这表明K2Cr2O7的用量不足,氧化不完全,结果可能偏低。只有在K2Cr2O7足量时,溶液才呈橙黄色(滴定时FeSO4用量不应小于空白标定时用量的三分之一)。否则应弃去,减少浸出液的吸取量重作。