网站首页  词典首页

请输入您要查询的字词:

 

字词 酶法澄清机理
类别 中英文字词句释义及详细解析
释义

酶法澄清机理


在果蔬汁澄清中,使用酶制剂的目的是降低果蔬汁的黏度,利于浓缩,同时改善果蔬汁的可滤性,有利于提高汁的透明性和稳定性。酶的应用涉及三个基本机理,这就是酶活力机理、果胶降解机理和澄清机理。

(一)酶活力机理

酶的活力受到酶浓度、反应温度和时间这三个互相影响的参数控制。熟练掌握这些机理才能使酶技术适应果蔬汁加工的需要。根据生产实践,酶在果汁加工中的应用有以下一些经验和注意事项:

①酶的添加量应根据其本身的特性、活力、果蔬汁中的果胶含量与酯化度、pH以及酶的反应温度决定。一般加量为果蔬汁质量的0.004%~0.05%。实践表明,酶浓度加倍时,反应时间减半可得到同样的效果,反之亦然。

②果胶酶的反应时间与反应温度密切相关。对大多数果胶酶来说,在10~50℃范围内,温度每升高10℃,酶活力将近增加1倍。可以认为在45~55℃范围内,果胶酶的反应速度随温度升高而加速。但温度越高,酶的消耗也越快。超过55℃时酶因高温而钝化,反应速度反而降低。当然也有例外,有些酶在10℃以下表现出活力,而高温果胶酶可以承受60℃以上的温度。

除温度外,酶法澄清所需的时间还与酶制剂种类和酶浓度有关,一般2~8h。苹果加工中果胶酶保留活力的时间与温度的关系参见表2-1-43。对于酶过早失活的大多数情况来说,用降低温度的办法,可以节省需要增加的酶量。

表2-1-43 果胶酶保持活力的时间与温度的关系

③酶制剂应在正常pH范围内使用,当pH低于3.0时要考虑推荐剂量的上限或使用专用酶。另外多酚类物质含量较高,或在含有醇、SO2以及在基质中有其他酶制剂存在时都会抑制酶的作用或加速酶的失活。为避免这种情况出现,可在加酶前添加明胶或增加酶的剂量。

④酶制剂可直接加于果蔬榨汁或浸汁中,也可加于经过加热杀菌的果蔬汁中。前者加入的酶制剂可与果蔬汁中的原有天然果胶酶协同作用,提高澄清效果。有时为了防止果蔬汁因氧化发生变色反应,或因微生物作用而引起发酵等腐败作用,可以先将果蔬汁迅速加热至80~85℃,经过灭酶杀菌,并冷却至55℃以后再加入酶制剂。

如上所述,酶制剂在果汁加工中的应用有各种影响因素,是一个非常复杂的课题。酶制剂的各种影响因素和使用参见表2-1-44,以供生产时参考。

表2-1-44 酶制剂的影响因素和最佳使用条件

(二)果胶降解机理

果胶是高等植物细胞间质和细胞初生壁中的结构性多糖。果胶物质有原果胶、果胶和果胶酸三种形态。原果胶不溶于水,水解成为纤维素和果胶。果胶溶于水,具有一定的黏性,在果胶酯酶作用下变为果胶酸。果胶酸无黏性,对水的溶解度较低。

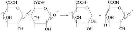
果胶主要构架是D-半乳糖醛酸(D-galacturonic acid),为a-1,4苷键,是具有15~30万分子质量的聚糖醛酸(Polyuronic acid)。用果胶酶分解果蔬汁中的高分子果胶,有两种酶系。一种是利用果胶酯酶(PE)和液化型聚半乳糖醛酸酶(endo-PG)的水解酶系,另一种是液化型果胶裂解酶系(endo-PL),作用机理见图2-1-8。

聚半乳糖醛酸酶

果胶酯酶

果胶裂解酶

图2-1-8 果胶裂解酶作用机理

对于水解酶系的场合,果胶水解分为两个阶段,首先由PE切断果胶的甲酯键,果胶脱酯转化成低酯化度的果胶,同时生成甲醇,果胶变为果胶酸。随后由于endo-PG的作用,果胶低分子化,生成有游离羧基的分解物。

在endo-PL场合,分解果胶在一个阶段内完成,由于不分解甲酯键,故无甲醇生成,分解产物的羧基被酯化。endc,-PL分解果胶生成的分解产物,在其非还原性末端的C4和C5位置生成有不饱和键的半乳糖醛酸,但还原性末端与水解酶系的分解产物是完全相同的。用果胶裂解酶降解果胶的特点如下:

①直接分解果胶;

②分解产物缺乏反应性;

③不生成甲醇。

从生产实用性考虑,与水解酶系相比,果胶裂解酶的上述特点对果蔬汁澄清具有重要意义。果胶裂解酶不仅一步完成果胶水解,而且能分解高酯化的果胶,这表明酶的亲和力将随作用底物酯化度的增加而加大,因此果胶裂解酶在果蔬汁加工中,特别是对于含有高酯化果胶的苹果汁来说,可以在短时间内实现澄清化,缩短澄清时间对简化加工过程和提高产品质量是有效的。研究表明,钙离子和某些阳离子对果胶裂解酶有促进作用,其程度取决于底物的pH和酯化度。不饱和部分的甲氧基化的寡糖作为果胶裂解酶的降解物而积累于果蔬汁中。

水解酶系分解产物的羧基处于游离状态,在其与金属离子或其他成分相结合时会发生凝固,导致二次沉淀物的生成。而果胶裂解酶分解物的羧基以隐蔽状态存在,缺乏反应性,因而不会出现二次沉淀现象。

由于果胶裂解酶在不切断甲酯键的情况下分解果胶,不会因酶而生成新的甲酯。尽管过去用的酶澄清剂中含有果胶裂解酶,但新开发的果胶分解酶均以果胶裂解酶为主要成分。

另一方面,由于果胶降解包括原果胶分解和溶解果胶降解两个过程,因此当果蔬汁中原果胶和果胶含量不同时,果胶降解也会出现不同情况。例如未成熟苹果原果胶含量高(80%~90%),可溶性果胶含量低(10%~20%)时,在最初阶段随着被降解的可溶性果胶的增多,黏度逐渐增加。而在原果胶大部分溶解后,随着果胶的进一步降解,黏度又逐渐减少。再如在原果胶含量少(5%~10%)时,即正常果汁脱果胶的情况,由于少量的原果胶迅速溶解,与可溶性果胶同时被降解,因此黏度随作用时间而降低。

(三)澄清机理

果蔬汁澄清可以分为三个不同的连续阶段,即酶促水解、絮凝和沉淀。每一阶段都受黏度的影响。新榨出的果蔬汁一般都是一个稳定的胶体系统,其主要因素是果胶。果胶的黏性对胶体起保护作用,也能阻止果蔬汁中的蛋白质和多酚物质之间发生反应,以免产生自发澄清作用。在酶促水解的澄清第一阶段,如上所述,首先部分不溶于水的原果胶在酶的作用下变成可溶性果胶,这时原果胶量不断减少,水溶性果胶在增加。然后水溶性果胶被分解,果蔬汁的黏度急剧下降,原来的胶体系统就失去了稳定性。当黏度降低至一定数值后转入澄清第二阶段,悬浮胶体发生絮凝,浑浊骤然出现破坏,在这一阶段可以加入适当的澄清剂促进胶体的凝聚。在充分脱胶的果蔬汁中使用澄清剂较为有效,否则将会出现烟雾状的不完全的澄清。

巴氏杀菌的果蔬汁不再会发生自澄清现象。由于在加热过程中已经去除了果蔬汁中的部分蛋白质,因而不能再与带相反电荷的多酚物质和悬浮颗粒发生反应,适当添加明胶可以校正。

在沉淀的澄清第三阶段絮凝沉淀,果蔬汁的透明度大为提高。沉降速度遵循Stokes定律,并取决于凝絮阶段形成的颗粒大小和相对密度。沉降时间决定于澄清器(罐)的高度。

对于苹果汁和梨汁等果蔬汁的澄清,除果胶外,还有另外一种重要的胶体物质必须加以控制,这就是淀粉。在果蔬汁加热时,淀粉就会胶化,由于黏度的增加和一种几乎不能用过滤法除去的浑浊的出现将严重影响果蔬汁的质量。在用压榨法或浸提法提取的果蔬汁中,这些淀粉95%以上是以淀粉粒的形式存在的。在这种情况下,可以用离心分离法去除大部分未胶状化的淀粉。还有大约5%的胶状淀粉需要用α-淀粉酶分解。果蔬汁中的支链淀粉吸水膨胀,加热后完全溶解于水,用酶很容易分解。去除淀粉可以提高过滤速率,避免果蔬汁发生浑浊。酶法水解淀粉和脱果胶可以同时进行。淀粉酶用量0.0015%~0.003%(即1.5~3.0mL/hL)。反应温度30~35℃。

由于25~45℃的温度范围对微生物,尤其是酵母生长较为有利,因此很多学者建议,在用酶法去除果胶和淀粉时,果蔬汁澄清时的温度应避开这一温区,推荐的酶反应温度为45~50℃或20~25℃。

在用酶制剂澄清果蔬汁的过程中,有时会出现这种情况,例如某一品种的果汁用同样的酶制剂,而且在同一条件下进行处理,却出现不同的澄清状态,表明澄清化的过程出现很大差异,这也是果蔬清汁生产的重要问题。出现这一现象的原因大致有以下方面:

①果实是一个活体,不仅成熟过程,就是在采收后也会有各种酶在起作用。果实自身存在阻碍澄清化的酶。不经热处理而以酶的原有状态保存的果汁很难澄清化,而加热处理的果汁不会出现这种情况。

②在果实软化过程中,在浸软酶(Macerating enzyme)的作用下,细胞壁中的不溶性果胶转变为可溶性果胶。在细胞壁中,果胶与各种糖结合,因此可溶化的果胶不是由半乳糖醛酸组成,而是包括有半乳糖、阿拉伯糖、木糖和鼠李糖等中性糖的复合多糖。与果胶结合的中性糖的种类、含量和结合方式根据水果种类和品种而有较大差异,也会随成熟度变化。中性糖含量高的果胶以及与中性糖特殊结合的果胶是难以为果胶酶分解的。如果不能充分去除中性糖,则未分解的果胶将会残留在果汁中,这一点特别要注意。

③以任何方式结合的果胶对果胶酶都有抵抗性,另外,水果本身存在抑制果胶酶活性的物质,例如多酚类物质,这也是植物抵御病害的防卫手段。使用腐败水果时,果汁中的果胶酶阻碍物质将增加,这一点也应注意。

鉴于以上情况,在选用商品酶制剂时需要一个正确的评价方法。一般要以果蔬汁作为试验基质进行试验,以确定酶的最佳使用条件。而果胶降解的效果是通过果胶试验来检测的。表2-1-45为国际通用的果胶试验方法。

表2-1-45 国际通用果胶试验方法

(四)酶制剂评价的试验方法

(1)果浆试验 把等重的果浆同时放入同样的筛子或滤网中,并在预先确定的测定时间内收集自由沥出的果汁量。果汁的颜色和成分也可作为考虑内容。特别要注意,应制得有代表性的、均质的果浆样品以供实验。

(2)离心试验 这是果浆试验的一种变型,用离心技术代替筛分,将液相与固相分开,在透明刻度离心管上直接读出沉淀的百分数。

以上两种试验所需果浆的量,每个样品最少100g。

(3)黏度试验 这种试验方法仅推荐给正常使用黏度计的专职技术人员。尽管酶的生产者在产品标准化时普遍使用这种方法,但应当提醒注意,黏度试验仅仅显示果胶初步水解的情况,因此在工业酶的应用中实用价值很小。

(4)酒精试验 这是测定果汁中果胶含量及其水解程度时最常用的方法。按下面的方法,每隔一定时间重复酒精试验,果胶分解的实际速率就能表现出来。

将5mL果汁加到一个放有酒精的试管中,将管口堵住,轻轻地上下倒转3~5次,使内容物混合。

酒精可以用甲醇、异丙醇或丙酮代替,尽管产生的絮凝作用有所不同。

混合之后,就可以做各种明显的特征性的观测,通常根据絮凝的大小及沉淀的数量来分别确定果胶降解的程度及剩余果胶的数量。

如果没有或只有轻微的果胶解聚作用发生,则立即出现一种浓的果冻状沉淀物,随时间延长就浮到上面,形成一个随存在的果胶数量的不同而大小有别的塞栓。在逐步延长反应时间之后,再重复这种试验时,塞栓终于不再形成,絮凝片也一次比一次细小,直到它们不再能阻留所形成的气泡为止。从这时起,可看到沉淀,絮凝物的体积就代表剩余果胶的数量。

除了这些观察之外,果胶凝聚作用越来越迟缓也是值得注意的现象,与酒精混合到凝聚的时间间隔达30s时,就能进行有效净化。

(5)澄清试验 比较酶制剂澄清能力的最简单方法是将它们等量地同时加到有相同果汁样品的500~1000mL的量筒中。测定澄清开始(浑浊破裂)前的时间和沉淀的时间。另外,根据量筒刻度值可测定沉淀的体积,用浊度计或分光光度计可测定透明果汁的透明度。一些更精细的试验可与净化及过滤相结合。

(6)稳定性试验 将净化并过滤过的果汁或重新稀释的浓缩果汁,在试管中加热至沸点,并立即冷却至接近冻结的温度。如果在12~14h内无浑浊出现,那么,该果汁只要不再与其他浓缩物或果汁混合,就可以预期能在巴氏杀菌、浓缩、贮藏、再稀释或灌装之后保持稳定。

(7)碘试验 这个试验一般是用来确定果汁中淀粉含量和降解程度的,仅作为一个辅助试验,用以比较带有淀粉酶活性的果胶酶模型。

将10mL待测果汁移到试管中,与1mL碘-碘化钾溶液(1g碘和20g碘化钾溶解于1L水中)充分混合。

如果颜色变蓝,说明果汁中含有未水解的淀粉;若变紫到褐色,则说明已经开始水解;红色说明大部分淀粉已变成糊精;黄色意味着淀粉已水解为葡萄糖。

随便看

 

文网收录3541549条中英文词条,其功能与新华字典、现代汉语词典、牛津高阶英汉词典等各类中英文词典类似,基本涵盖了全部常用中英文字词句的读音、释义及用法,是语言学习和写作的有利工具。

 

Copyright © 2004-2024 Ctoth.com All Rights Reserved
京ICP备2021023879号 更新时间:2026/1/15 20:14:58