网站首页  词典首页

请输入您要查询的字词:

 

字词 采暖系统冬季耗热量计算
类别 中英文字词句释义及详细解析
释义

采暖系统冬季耗热量计算


1.围护结构耗热量Q1

Q1=∑AK(tn-tw)·a

式中 Q1——围护结构总耗热量,W

A——围护结构的面积,m2

K——围护结构传热系数,W/(m2·K)

tn——室内计算温度,℃

tw——室外计算温度,℃

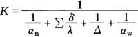
(1)传热系数K的确定 按下式计算。

式中 αn——内表面吸热系数,W/(m2·K)

αw——外表面吸热系数,W/(m2·K)

δ——围护结构各层材料厚度,m

λ——各层材料的导热系数,W/(m2·K)

——空气层热阻,m2·K/W

αn一般可取7.0~8.7W/(m2·K);αw冬季一般取23(内墙),(内门窗αw=6);夏季一般取αw=19W/(m2·K)。

,空气层厚度一般取50mm,此时约为0.17(m2·K)/W

(2)各种门窗的传热系数 见表6-7-46。

表6-7-46 门窗传热系数

注:(1)本表中的窗户包括一般窗户、天窗和阳台门上部带玻璃部分。

(2)阳台门下部门肚板部分的传热系数,当下部不作保温处理时,应按表中值采用;当作保温处理时,应按计算确定。

(3)本表中未包括的新型窗户,其传热系数应按测定值采用。

(3)不保温地坪平均传热系数 见表6-7-47。

表6-7-47 不保温地坪平均传热系数 单位:W/(m2·K)

(4)带顶棚的屋面综合传热系数K

式中 Ka——顶棚的传热系数

Kb——屋面的传热系数

α——屋面和顶棚的夹角

按上述计算出围护结构耗热量后,还应考虑朝向修正、风力附加、高度附加等系数。各附加值可参照国家标准《采暖通风与空气调节设计规范》(GBJ19)。汇总全部围护结构耗热后,再考虑5%~10%的富裕量,就可得知围护结构的总耗热量Q1值。

2.渗入室内的冷空气耗热量Q2

(1)对于密闭车间或机械排风量小的车间,可按换气次数计算进入室内的冷空气量L。换气次数见表6-7-48。

表6-7-48 车间的换气次数表

注:对于大型车间η<0.5(次/h);双层窗η减半。

L=V·η(m3/h)

式中 V——房间体积,m3

η——换气次数(即每小时交换空气的体积与房间体积的比值,次/h

(2)当机械排风量大于换气次数的换气量时,进入室内的冷空气应以机械排风量计算。

(3)渗入冷空气的耗热量也可按建筑物高度和玻璃窗层数,按表6-7-49查得。

表6-7-49 渗入冷空气的耗热量与建筑物外围结构耗热量的比率 单位:%

(4)加热渗入的冷空气所耗热量按下式计算:

Q2=0.28Lp(tn-tw)

式中 Q2——耗热量,W

L——渗入的冷空气量,m3/h

ρ——渗入冷空气的密度,kg/m3

tn、tw——分别为室内,室外计算温度,℃

3.运入物料的吸热量Q3

式中 Q3——吸热量,W

G——运入物料量,kg/h

C——物料比热,m/(kg·K)

B——物料吸热系数,见表6-7-50

表6-7-50 物料吸热系数B

tn——室内温度,℃

tc——物料运入车间时温度,℃,如缺乏具体数据,可按表6-7-51选取

表6-7-51 冬季物料运入车间的温度 单位:℃

4.热设备的散热量Q4

Q4r·F·(τ-tn)(W)

式中 ατ——热设备外壁面换热系数,[W/(m2·K)],对钢制外壁热设备,当τ在40~80℃范围内变动时,可近似取αr=12(W/m2·K)

τ——热设备表面温度,℃

5.耗热量计算的几点说明

(1)车间总的采暖负荷根据Q1+Q2+Q3+Q4进行计算,再附加10%~15%。

(2)在总负荷中,要适当扣除车间内散热设备的散热量。

(3)有时为了概略计算耗热量,可以采用热指标估算:

Q=P·V·(tn-tw)(W)

式中 P——热指标,W/(m2·K),(有通风的车间P=1.16;无通风车间P=0.93)。

V——车间体积,m3

tn——车间温度,℃

tw——室外计算温度,℃

随便看

 

文网收录3541549条中英文词条,其功能与新华字典、现代汉语词典、牛津高阶英汉词典等各类中英文词典类似,基本涵盖了全部常用中英文字词句的读音、释义及用法,是语言学习和写作的有利工具。

 

Copyright © 2004-2024 Ctoth.com All Rights Reserved
京ICP备2021023879号 更新时间:2025/10/18 17:24:56