(0-1)分布
P{X=1}=p,P{X=0}=1-p.
E(X)=p=P{X=1}.
D(X)=p(1-p)=P{X=1}P{X=0}.
二项分布X~B(n,p)
E(X)=np,D(X)=np(1-p).
泊松分布X~P(λ)
E(X)=λ,D(X)=λ.
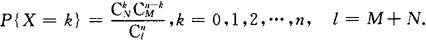
超几何分布


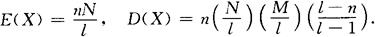
几何分布

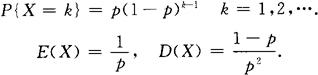
负二项分布(帕斯卡分布)

均匀分布 X~U(a,b)

指数分布 X~E(λ)

正态分布 X~N(μ,σ2)
E(X)=μ,D(X)=σ2.
特例:标准正态分布X~N(0,1)
E(X)=0,D(X)=1.
伽马分布(Γ分布)
