网站首页  词典首页

请输入您要查询的字词:

 

字词 钡离子的测定
类别 中英文字词句释义及详细解析
释义

钡离子的测定


(一)分光光度法

1.原理 在酸性样品溶液中,钡与铬酸盐生成黄色铬酸钡沉淀,形成悬浊液,同标准悬浊液比较,用光度法测定样品中微量钡含量。

2.适用范围 井盐,除钡卤水。

3.测定手续

(1)标准曲线的绘制 吸取0.00、0.50、1.00、2.00、3.00、4.00ml钡标准溶液(10μg/ml,表7-1-17),分别置入25ml比色管中,各加2ml 95%乙醇混合,加水稀至15.0ml,然后插入搅拌棒(带橡皮头的玻璃棒)上下搅匀。加10.0ml不含钡井盐铬酸钾溶液,立即上下搅动30s(冬季适当增长搅拌时间),放置20min,用30mm比色皿在波长590nm处,以水作参比测定吸光度。测得吸光度与相对应钡的浓度绘制标准曲线。

(2)样品测定 称取25.00g样品,置入150ml烧杯中,加水溶解,加5滴3%过氧化氢混匀,煮沸除去过量的过氧化氢,冷却后调节溶液为弱碱性,移入100ml容量瓶中,加水稀至刻度,摇匀。干滤纸、干漏斗过滤、弃去最初约10ml溶液。吸取10.00ml滤液于25ml比色管中,用0.1N盐酸或氢氧化钠溶液中和呈微酸性,加1.0ml醋酸-醋酸铵缓冲溶液,2.0ml 95%乙醇混匀。以下手续同标准曲线。测得吸光度由标准曲线查出样品溶液中钡的浓度,计算样品中含量。

注:

(1)不含钡井盐铬酸钾溶液 称取250g井盐,加水约900ml溶解,加2ml 3%过氧化氢,混匀,加热煮沸除去过量的过氧化氢,滤去不溶物和氢氧化铁,用1N盐酸或1N氢氧化钠调节至中性,另称取100g铬酸钾,溶解后加至盐溶液中,混匀,加热煮沸并搅拌10min,静置过夜,稀释至1000ml,用前过滤。

(2)醋酸-醋酸铵缓冲溶液 称取38.5g醋酸铵溶解于水中,加15ml冰醋酸,移入500ml容量瓶中,稀释至刻度。

(二)氧化还原滴定法

1.原理 在pH4.6的酸性溶液中,钡与铬酸盐生成铬酸钡沉淀,与锶、镁、钙分离,将铬酸钡沉淀溶解,用碘量法测定卤水中钡离子含量。

2.适用范围 含钡卤水。

3.测定手续 吸取含钡样品溶液20.00~25.00ml,于250ml烧杯中,加水至100ml,加3滴0.1%甲基红指示液,用1∶4盐酸和1∶4氨水溶液调节溶液恰呈黄色,加热至近沸,加入10ml pH≈4.6的醋酸-醋酸铵缓冲溶液,保持近沸,在不断搅拌下缓缓加入30ml 5%铬酸钾溶液,于80℃保温30min,强制冷却至室温,过滤,铬酸钡沉淀,用稀氨水(pH7~8)洗涤至无CrO42-(AgNO3溶液检查),加10ml1∶1盐酸溶解铬酸钡沉淀,用热水洗涤至无氯离子,加入1.5g碘化钾于暗处放置5min,以0.03N硫代硫酸钠标准溶液(表7-1-16)滴定至浅黄色,加2ml 0.5%淀粉溶液,继续滴定至无色。同时作空白试验。

计算

式中 V1——滴定钡离子时硫代硫酸钠标准溶液的用量(ml)

V2——空白试验时硫代硫酸钠标准溶液的用量(mI)

Va——测定样品溶液中的样品量(ml)

TNa2S2O3/Ba——硫代硫酸钠标准溶液对钡离子的滴定度(g/ml)

注:pH4.6的醋酸-醋酸铵缓冲溶液 称取57.7g醋酸铵溶于水,加44ml冰醋酸,稀释至500ml。

(三)重量法

1.原理 在微酸性溶液中,钡离子与铬酸盐生成铬酸钡沉淀,重量法测定钡离子含量

2.适用范围 氯化钡。

3.测定手续 称取研磨细匀的样品7g(称准至0.0001g),溶于500ml容量瓶中,用水稀至刻度,摇匀。干滤纸、干漏斗过滤,吸取滤液5.00ml于250ml烧杯中,加5ml 1N盐酸溶液,加水稀至150ml,加10ml 7%重铬酸钾溶液,加热煮沸,保持沸腾状态,在不断搅拌下,缓慢滴加10ml 1N醋酸铵溶液,保温5min后,继续在沸腾状态下,边搅拌、边滴加15ml 0.5N氨水。在80℃时保温30min,强制冷却至室温。用已于130±2℃恒重的4号玻璃坩埚过滤,铬酸钡沉淀用含少量氨水的水洗涤至无氨离子。在130±2℃干燥至恒重。

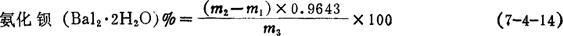
4.计算

式中 m1——玻璃坩埚质量(g)

m2——玻璃坩埚加沉淀质量(g)

m3——样品质量(g)

0.9643——铬酸钡换算为氯化钡(BaCl2·2H2O)的系数

随便看

 

文网收录3541549条中英文词条,其功能与新华字典、现代汉语词典、牛津高阶英汉词典等各类中英文词典类似,基本涵盖了全部常用中英文字词句的读音、释义及用法,是语言学习和写作的有利工具。

 

Copyright © 2004-2024 Ctoth.com All Rights Reserved
京ICP备2021023879号 更新时间:2026/4/18 20:33:52