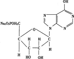
化学名:5′-肌苷酸二钠,5′-鸟苷酸二钠5′-肌苷酸二钠(GMP)
结构式:

分子式:C10H11N4Na2O8P·XH2O
相对分子质量(无水):392.17
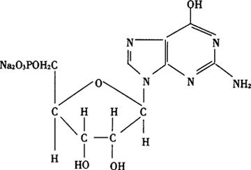
5′-鸟苷酸二钠
结构式:

分子式:C10H12N5Na2O8P·XH2O
相对分子质量(无水):407.19
一、呈味核苷酸二钠的鉴别
1.试剂和溶液
1.1 异丙醇。
1.2 硫酸铵。
1.3 展开溶液 饱和硫酸铵∶异丙醇∶水=79∶2∶19(体积比)。
1.4 滤纸 新华层析滤纸Ⅲ号。
2.仪器
2.1 紫外分析仪(波长254nm)。
2.2 微量注射器。
2.3 紫外分光光度计,带10mm石英比色皿。
3.操作步骤
3.1 试样液的制备 称取样品1.0g(准确至0.0001g),用水溶解并稀释至100mL,取10.0μL,用新华Ⅲ号滤纸点样,于展开溶液中展开30cm,取出晾干或烘干,在紫外分析仪中划出紫外吸收斑点(IMP与GMP),分别剪于两支Φ10mm×100mm的小试管中,各加0.01mol/LHCl溶液4.0mL;将试管放入80℃恒温水浴,保温30min,冷却,即为含有IMP与GMP的试样液。
3.2 最大吸收波长的测定 分别将试样液倒入1cm光程石英比色杯中,在240~265nm范围内,以0.01mol/LHCl溶液作空白,用紫外分光光度计分别测定其最大吸收波长。
4.结果处理
最大吸收波长在(250±2)nm内,即为IMP;最大吸收波长在(256±2)nm内,即为GMP。
二、IMP和GMP总含量的测定
1.操作步骤
将IMP与GMP的试样液分别倒入1cm光程石英比色杯中,以0.01mol/LHCl溶液作空白,用紫外分光光度计,在250nm、260nm处分别测定IMP与GMP的最大紫外吸光度。
2.分析结果的表述
2.1 IMP含量计算

式中 400——稀释倍数
527——IMP的相对分子质量
11.7×103——IMP的摩尔吸光系数
0.1——样品定容体积,L
m1——样品质量,g
A1——IMP在波长250nm处的吸光度
2.2 GMP含量计算

式中 400——稀释倍数
533——GMP的相对分子质量
12.2×103——GMP的摩尔吸光系数
0.1——样品定容体积,L
m2——样品质量,g
A2——GMP在波长260nm处的吸光度
2.3 含量(IMP加GMP)计算
w=w1+w2 (8-6)
式中 w——质量分数(IMP加GMP),%
w1——IMP质量分数,%
w2——GMP质量分数,%
3.允许差
同一样品两次测定值之差,不得超过1%。
三、食品中呈味核苷酸二钠的测定
见本章第一节和第二节。