别名 坚牢绿(Fast Green FCF)
国外相应商品名:Aizen Food Green No.3(HCC);Fast Green FCF(WJ);FD&C Green No.3(KON WJ);Green 1724(DFA)
染料索引号:C.I.食品绿3(42053-1975)
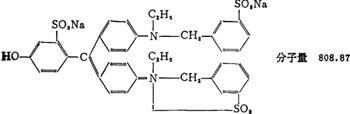
结构式

性能 带金属光泽的暗绿色颗粒或粉末,无臭。易溶于水、甘油、乙二醇和乙醇,呈蓝绿色。碱性水溶液则变为蓝色或紫色。耐热性、耐光性、耐还原性好。对柠檬酸、酒石酸稳定。对碱不稳定。吸湿性强。毒性:ADI0~12.5mg/kg(暂定,FAO/WHO,1985)。LD50>2g/kg(大鼠,经口)。
质量规格(FAO/WHO,1984)

用途 食用绿色素。与其它色素配合用于糖食制品、清凉饮料(日本仅限用于糖食制品)。食品中最高参考用量(FAO/WHO,1984):苹果调味酱、梨、加工熟豌豆罐头、果酱和果冻,200mg/kg;冷饮,100mg/kg(最终产品色素可达300mg/kg)。还可用于药品的着色。在化妆品中主要用于浴液及洗发水的着色,但不得用于眼部化妆品中。