网站首页  词典首页

请输入您要查询的字词:

 

字词 1716年
类别 中英文字词句释义及详细解析
释义

1716年

莱布尼茨逝世。


1716年

8月5日奥地利与威尼斯结成共同防御同盟,指责奥斯曼土耳其政府违反1699年《卡尔洛维茨条约》,而对土耳其发起进攻。欧根亲王率6万大军在多瑙河畔的波得沃登战役中击溃土耳其军队,并乘势包围奥斯曼在巴尔干地区最坚固防守的城市贝尔格莱德。
俄国颁布有重要意义的《陆军法规》。
沙皇彼得一世派兵占领波兰,迫使波兰王奥古斯都二世同波兰地主权贵签订协议,规定:奥古斯都二世必须将萨克森军队撤离波兰;禁止今后有任何贵族党;限制国王军队人数为1.8万人。


1716年

7月7日,李光地报告去年所试种的种子,经择地栽培,比闽中诸稻种吐穗成实都早十余天,且米粒长大,现正续栽晚季秧。
11月15日,苏州织造报告康熙帝亲自培育的“御稻”种植及收获的情况,种50亩,第一季每亩收3石7斗,第二季每亩收1石5斗。


医学


1716年

毛宗旦著《九章蠡测》10卷,附《勾股蠡测》1卷,是仿《九章算术》体例写成的数学著作。


1716年

英国议会通过议案,将本身的任期延长为7年。
詹姆斯党人的叛乱被英国军队镇压,詹姆斯·爱德华及发动叛乱的马尔伯爵逃往法国,叛乱者被驱逐和处决。
日本征夷大将军德川家继卒,幕府第八代将军德川吉宗嗣职后,实行“享保改革”,紧缩幕府支出,禁止制造与贩卖新商品,奖励垦荒,农民的租额固定几年不变。


1716年

3月,康熙帝插立小旗测风,并命令直省凡起风下雨时一一记录报告。曾发现北京刮西北风时而山东却吹东南风。这是最早的统一气象观测网的尝试,也是世界上关于锋面不连续的最早发现。


1716年

2月,准噶尔部策妄阿喇布坦遣兵1万人,驱逐了侵入额尔齐斯河地区的俄国军队。


1716年

德国传教士戴进贤来华,后在钦天监任职。他传人了17世纪德国天文学家开普勒发现的行星运转轨道为椭圆的原理,以及牛顿计算地球与太阳、月球之间距离的方法。并主持纂修《历象考成后编》,其中讨论到“日月五星之本天(轨道)旧说为平圆,今以为椭圆”,“地球与日、月距离之计算,采奈端(牛顿)之术”。


地学


1716年

5月,由张玉书编的《康熙字典》42卷成书印行,共12集,119部,共收字47 035个,每字详其声音、训诂。后经考证改正讹误2 558条。
藏族说唱体英雄史诗《格萨尔王》,在京以藏文梓版。
俄罗斯文馆由隶属内阁典籍厅升级为内阁管辖,更名为“内阁俄罗斯文馆”。


政法


1716年

哈雷提出,用观测金星凌日的方法测定太阳视差,并由关于金星会合运动的速度以及金星与地球两者离太阳之比的知识定出日地距离,从而确定太阳系的规模。


地学


1716年

孔克尔[德]的遗著《化学实验室》一书出版。在讨论锑焙烧增重时,他提出这是由于物质变密,排除孔中空气的结果。


天文学

德勒姆著《天文神学》一书中提出:“每一恒星系都是一个太阳,有一个行星体系环绕着,包括一级和二级的行星在内。”反映了布鲁诺见解的流行。
哈雷利用一次日全食机会观察和描述了日冕现象,认为这是月球的大气。证实天鹅座中一颗亮星起伏变化的规则性,并编制了迄当时为止所观测到的主要新星和变星的一览表。


1716年

11月,俄国古谢特尼科夫商队至京,后因中国商人未能及时交付货款,俄商向中国有关衙门控告,中国商人被关押。康熙令从内库拨银偿付。此后,理藩院令今后贸易一律现金贸易。此时,俄中贸易俄国商品以毛皮为主,中国商品则以绸缎、棉布为主。
12月,清廷规定往台湾、澎湖贸易的船只,需20~30艘,一同出海,台、厦两汛拨哨船3~4艘护送。
苏州船厂每年千艘出海贸易,而归来不过十之五六,因而清廷下令截留出洋船只,允许出海船只也不得多带口粮。


1716年

法国在摄政王奥尔良公爵支持下,约翰·劳创办了一私人纸币发行银行,后改为皇家银行。
荷兰开始陷入经济危机。


1716年

牛顿使用二阶常微分方程的途径,指明了如何求与一已知曲线族相交成定角的曲线,或相交的角是按照给定的规律随族中曲线变化的曲线。
尼古拉·伯努里完成了正交轨线问题更进一步的工作。
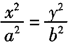
法格纳诺[意]证明:任何两条椭圆弧的差是代数函数,并由此得到了“法格纳诺定理”(图),即:令=1是以e为离心率的椭圆,并令P(x,y)与P′(x′,y′)为椭圆上的两点,它们的离心角分别为φ和φ′,并满足tgtg′=b/a,则有arc BF-arc AF=a-b。


法格纳诺定理


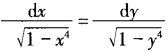
赫尔曼[瑞士]给出了正交轨线问题的一个规则:若F(x,y,c)=0是一已知曲线族,则y′=-F′x/中F′yo其中F′x与F′y为F的偏微商,从而正交轨线的斜率为F′y/F′x,于是已知曲线族的正交轨线的常微分方程为F′ydx=F′xdy。
法格纳诺通过研究微分组合的积分,如方程有积分x2+y2+x2y2=1,得到了双纽线(它的a=1)弧长的两个积分之间存在着一个代数关系,尽管其中每一个积分分开看属于一类新的超越函数。他还得到了双纽线的特殊结果,若则x=-1+2y2+y4/1+2y-y4。这样他证明了:代表对数函数和反三角函数所具有的那些代数性质,至少也为某些类椭圆积分所具有(图)。


双纽线的积分关系


斯特林[英]出版《牛顿的三次曲线》8卷,对牛顿列举的72种三次曲线作了补充,并将x和y的一般二次方程化为几种标准型,并证明了代数曲线由该曲线的n(n+3)/2个点所决定。因为这种曲线有n(n+3)/2个本质系数;而且断言:任两平行线切割一给定曲线,它们的交点(实的或虚的)个数相同,并证明了延伸到无穷远的曲线的分支之个数为偶数。

物理学


1716年

意大利塔尔蒂尼完成著名的奏鸣曲 《魔鬼的颤音》。
库普兰出版著名的《哈普西科德演奏法》,为当时有代表性的音乐教科书。
普鲁士国王腓特烈一世采纳弗兰克关于国民教育的重要意见,连续发布了在普鲁士实行强迫初等教育的法令。


政法


1716年

俄国对圣彼得堡市进行城市规划。

随便看

 

文网收录3541549条中英文词条,其功能与新华字典、现代汉语词典、牛津高阶英汉词典等各类中英文词典类似,基本涵盖了全部常用中英文字词句的读音、释义及用法,是语言学习和写作的有利工具。

 

Copyright © 2004-2024 Ctoth.com All Rights Reserved
京ICP备2021023879号 更新时间:2026/4/17 12:42:16