DW检验
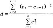
关于随机变量一阶线性序列相关(自相关)的一种检验。 它是由德宾(Durbin)和瓦森(Watson)提出的。随机变量e的一阶线性自相关可写为: et=pet-t+εt 式中,p为自相关系数,εt系均值为0、无自相关的随机变量。DW检验是关于上式中的p的某一假设的检验。其检验指标是:  d的值介于0与4之间。 对于假设p=0,德宾和瓦森给出了0.5和0.1显著水准的d的上限du和下限dI。如果实际观察到的d*小于dL或大于4-dL,则拒绝原假设。如果d*界于du和4-du之间,则接受原假设。如果dL<d*<du或者4-du<d*<4-d1,则无结论。 |