F检验
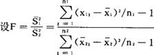
指用于服从F-分布的统计量所进行的检验。 如对两个正态分布总体的标准差σ1和σ2是否相等所进行的检验,即检验原假设H0(σ1=σ2)是否成立。其具体做法:  如果σ1=σ2成立,此式服从于第一自由度K1=n1-1,第二自由度K2=n2-1的F分布, 当σ1>σ2时,F有偏大的趋势;当σ1<σ2时,F有偏小的趋势。 对于给定的显著水平α,通常选取F1a和F2a使得:  计算出F,再查F-分布表可得F1a和F2a。当F≤F1a或F≥F2a时,拒绝H0(σ1=σ2),当F1a≤F≤F2a时,接受原假设H0(σ1=σ2)。 |