网站首页  词典首页

请输入您要查询的字词:

 

字词 一碳单位
类别 中英文字词句释义及详细解析
释义

一碳单位one-carbon fragment

又叫一碳基团,系由四氢叶酸携带的含有1个碳原子的有机基团。一碳单位包括甲基CH3-、甲烯基-CH2-、甲炔基CH≡、甲酰基O=CH-、亚氨甲基NH=CH-等形式,由丝氨酸、色氨酸、甘氨酸及组氨酸等氨基酸在分解代谢过程中产生。一碳单位在产生过程中可以互相转化。一碳单位生成后即与四氢叶酸结合,并由其携带至相应部位,参与嘌呤、嘧啶碱的合成,并参与肌酸、胆碱及儿茶酚胺类激素的合成。

一碳单位

在代谢过程中,某些化合物分解成的具有一个碳原子的基团称之。凡属于一个碳原子的转移和代谢的过程,统称为一碳单位代谢。

一碳单位

一碳单位

一碳单位包括一些含有一个碳原子的基团,各呈不同的氧化状态,即 (CH3—)、亚甲基 (CH2=)、次甲基(CH≡)、甲酰基(HCO—)或亚氨甲基(—CH=NH)及二氧化碳(O=C=O)等,来自一定的氨基酸代谢。前四者需要四氢叶酸或S腺苷蛋氨酸作为载体,而CO2则以生物素作为载体,在羧化及脱羧作用中起着辅酶的作用。
蛋氨酸作为甲基来源 一碳单位中的甲基来自蛋氨酸,后者必须在Mg2+及ATP参与下,经蛋氨酸腺苷转移酶的催化而转变成S腺苷蛋氨酸,始能充作甲基供体,用于甲基化反应,蛋氨酸的活化反应如下式:


S腺苷蛋氨酸在代谢反应中主要用于甲基化胺类及醇类,而所得的甲基化产物,及其前体化合物列于下表。

S腺苷蛋氨酸甲基化生成的生理物质

原化合物甲基化的产物
胍基乙酸
N乙酰5羟色胺
去甲肾上腺素
赖氨酸
组氨酸
乙醇胺
RNA
肌酸
松果素
肾上腺素
6N三甲赖氨酸(肉碱前身物)
甲基组氨酸(肌肽)
胆碱
甲基化RNA

当S腺苷蛋氨酸的甲基被转移后,遗留的S腺苷同型半胱氨酸可继续在腺苷同型半胱氨酸酶催化下水解为同型半胱氨酸及腺苷。
同型半胱氨酸如进入分解代谢途径,就需要由食物蛋白质供应蛋氨酸,所以蛋氨酸在营养上是必需氨基酸。
体内为了保存同型半胱氨酸,就将N5、N10-亚甲四氢叶酸还原成N5-甲基四氢叶酸并用以甲基化同型半胱氨酸。使体内的蛋氨酸得以补充。


此外,也可由胆碱提供甲基,将同型半胱氨酸甲基化以补充体内的蛋氨酸。但在此途径中胆碱须先氧化成甜菜碱,才能进行。


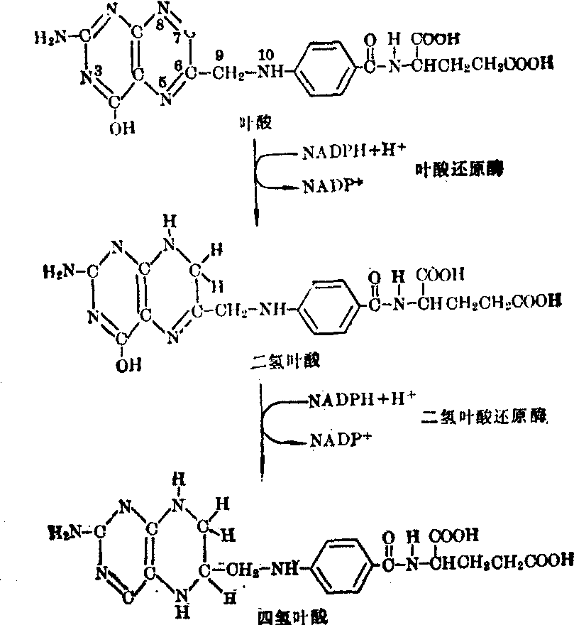
叶酸作为一碳单位载体 四氢叶酸是另一类一碳单位的载体,叶酸属于水溶性维生素B混合体,由蝶呤、对氨基苯甲酸和谷氨酸各一分子构成,而四氢叶酸是由叶酸经两步还原而得,分别需要“叶酸还原酶”和 “二氢叶酸还原酶”的催化。
四氢叶酸是在叶酸的5、6、7、8、四位碳上含四个氢,其所携带的一碳单位则位于N5或N10,再或连结N5和N10二者,形成一个桥梁。兹将四氢叶酸的分子结构要点缩简如下:


一碳单位的来源 机体内以四氢叶酸充作载体的一碳单位,主要来自不同氨基酸的碳骨架代谢,例如甘氨酸、丝氨酸、组氨酸、色氨酸,羟脯氨酸的碳骨架代谢皆是一碳单位的来源(见各该氨基酸代谢条目)。但是从量上说一碳单位的主要来源则是丝氨酸的碳骨架代谢,因丝氨酸经“丝氨酸转羟甲基酶”的催化,直接将其羟甲基碳转移给四氢叶酸而得N5、N10亚甲四氢叶酸(见“丝氨酸及其代谢”条)。已如上述,这既可转为N5甲基四氢叶酸以甲基化同型半胱氨酸合成蛋氨酸,亦可直接用于甲基化脱氧尿嘧啶核苷酸,以合成胸腺嘧啶核苷酸。
从组氨酸的碳骨架代谢可先产生N5亚氨甲基四氢叶酸,然后通过亚氨甲基四氢叶酸环脱氨酶催化转变为N5、N10次甲基四氢叶酸(见“组氨酸及其代谢”条)。这可用以合成嘌呤碱。由于N5、N10次甲基四氢叶酸在N5、N10亚甲基四氢叶酸脱氢酶和NADP+的作用下能与N5、N10亚甲基四氢叶酸可逆地相互转变,因而二者均可用以提供一碳单位。
甘氨酸的一分解代谢,近年来(例如在肝内)发现是在裂解酶催化下,其α碳与四氢叶酸化合产生N5、N10亚甲基四氢叶酸。甘氨酸还可经氧化酶的催化,产生甲酸。而甲酸在合成酶作用下,可与四氢叶酸形成N10甲酰四氢叶酸,为嘌呤碱的合成提供C-2。另外色氨酸及羟脯氨酸的碳骨架代谢也皆产生甲酸,充作合成N10甲酰四氢叶酸的前体。
由于N10甲酰四氢叶酸在N5、N10次甲四氢叶酸环水解酶催化下,也能与N5、N10次甲四氢叶酸可逆化相互转变,所以N10甲酰四氢叶酸也能间接被利用。
线粒体及微生物的蛋白质合成,当开始需要的启动氨基酸蛋氨酸,常需要N甲酰化,此乃由甲酰四氢叶酸所提供。

☚ 氨基酸的一般代谢   甘氨酸及其代谢 ☛
00000620
随便看

 

文网收录3541549条中英文词条,其功能与新华字典、现代汉语词典、牛津高阶英汉词典等各类中英文词典类似,基本涵盖了全部常用中英文字词句的读音、释义及用法,是语言学习和写作的有利工具。

 

Copyright © 2004-2024 Ctoth.com All Rights Reserved
京ICP备2021023879号 更新时间:2026/5/17 13:25:26