三角函数sanjiaohanshu
正弦函数,余弦函数,正切函数,余切函数,正割函数,余割函数的统称.

给定一个任意角α,以角α的顶点为原点,始边为X轴的正半轴,建立直角坐标系(如图).设任意角α的终边上任意一点P的坐标是(x,y),它与原点的距离是r(r=

),则比y/r,x/r,y/x,x/y,r/x,r/y分别叫做角α的正弦、余弦、正切、余切、正割和余割,记

由于全体任意角的集合与全体实数集合之间可以建立一一对应.所以正弦,余弦,正切,余切,正割,余割都可以看成以实数为自变量的函数,分别叫做正弦函数,余弦函数,正切函数,余切函数,正割函数,余割函数.
对于给定的角,各三角函数的值和它们对应的三角函数线的值相等.因此,也可以用三角函数线给出三角函数的定义.
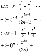
有时为了理论上的需要,也可以用无穷级数给出三角函数的定义.如
