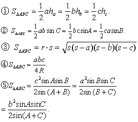
三角形的面积公式sanjiaoxing de mianji gongshi
在△ABC中,设∠A,∠B,∠C的对边为a,b,c;a,b,c边上的高分别为ha,hb,hc;s=(a+b+c)/2,r为△ABC内切圆半径,R为△ABC外接圆半径,△ABC的面积为


❻秦九韶公式:我国宋朝时秦九韶在《九章算术》中记载的三斜求积的方法是(如图):“以小斜幂(c
2)并大斜幂(a
2)减中斜幂(b
2),余半之,自乘于上;以小斜幂乘大斜幂,减上,余四约之,为实;一为从隅,开平方得积”.这个算法用公式表示,就是

这个公式可以变成

形式.它又叫做三斜求积公式.