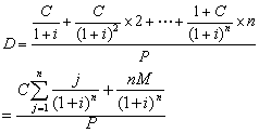
久期Duration亦称“持续期”,或称“麦考雷久期”。债券贴现现金流的加权平均到期时间。1938年由美国经济学家麦考雷提出。久期是债券每次支付现金所用时间的加权平均值,权重为每次支付现金流的现值占现金流现值总和的比率。它综合反映到期时间、债券现金流以及市场利率等因素变动对债券价格的影响,是衡量债券利率风险的指标。一般来说,久期和债券的到期收益率成反比,和债券的剩余年限及票面利率成正比。久期越短,债券对利率的敏感性越低,风险越低;反之,久期越长,债券对利率的敏感性越高,风险越高。计算公式为:D= PV(ct)×t B= 。其中,D是麦考雷久期,B是债券当前的市场价格,PV(ct)是债券未来第t期收益的现值,T是债券的到期时间。 久期 久期duration久期是在研究附息票债券时由Macaulay提出的概念,它比债券的到期日更为准确地刻画了债券的时间特性。具体说来,它把附息票债券根据到期日的不同看做一系列零息票债券,根据一定的折现率,计算出每一种零息票债券的现值和债券的总现值,再计算出每一种零息票债券的现值占债券的总现值的比重,并用这一比重作为权重,对零息票债券的到期日进行加权平均,结果即为附息票债券的久期。 假定有一种附息票债券,期限为n期,每期支付利息为C,债券的折现率为i,用D表示债券的久期,P表示债券的总现值,M表示债券的面值。计算公式为: 
☚ 冲击 方差分量模型 ☛ 00000840 |