借入证券投资
投资者借入部分资金购买风险证券以提高期望报酬率的投资活动。
假定存在收益率的期望值为正,方差是零的资产,即存在所谓无风险资产或安全资产,(如短期国债就可看作是这类资产),如果投资者可以按无风险资产利率γF无限制地借入或贷出资金,那么投资者新的投资有效边界就是CML。参见图6—26。
由于投资者既可以投资风险证券又可以投资无风险证券,因此证券组合(P)的期望报酬率E(γP)可由下式表示:
E(γP)=XRR+(1-XR)E(γi)
式中
R:无风险证券的报酬率;
X
R:证券组合中无风险证券所占百分比;
1-X
R:证券组合中风险证券所占百分比;
E(γ
i):风险证券的i的期望报酬率。

图6—26
图6—26中,在M点的证券组合是CML线上唯一不以γ
F(R)借入或贷出资金的情况,即X
R=0。在CML线上CM间的证券组合称为贷出证券投资,该投资者将部分资金购买报酬率为R的无风险证券,即投资者以R贷出资金,亦即X
R>0。而在CML线上ML间的证券组合称为借入证券投资,该投资者打算获得比M点上预期收益更多的预期报酬,同时准备承担更高的风险水平。他可以借入无风险资产购买风险证券,对证券组合施加影响,以提高期望报酬率,亦即X
R<0。
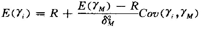
证券市场一般均衡模型可用下式表示:

式中:
R代表无风险利率;
E(γ
i)代表第i证券期望报酬率;
Cov(γ
i,γ
M)代表第i证券报酬率与证券组合的协方差;
δ
2M为证券组合M的方差。
上式中第2部分称为市场风险价格。也称为风险贴水,它使投资者以无风险利率R借入资金投资于第i证券,从而增加期望报酬率。换言之,风险贴水越大,则期望报酬率也越高。
(参见“资本市场线”、“证券市场线”、“资本资产价格模型”)