SMS型埋刮板链条张力和所需功率计算
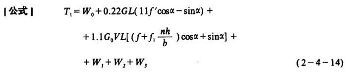
1.张力计算 [说明]参见图2-4-2。 a-水平或倾射刮板链条 b-垂直刮板链条  式中 T1——水平或倾射型刮板链条绕入驱动齿轮时的张力,即刮板链条的最大张力(N) W0——相当刮板链条的初始张力(N) W0=1.32T0 (2-4-15) T0——刮板链条的初始张力(N) W1——相当装料阻力(N) W2——相当卸料阻力(N) W3——相当清扫链轮阻力(N) f′——刮板链条和导轨的摩擦系数,取0.4~0.5 f——木片的内摩擦系数 f=tgφ (2-4-16) φ——内摩擦角(度),对木片为50°,则f=1.19 f1——木片的外摩擦系数  φ′——外摩擦角(度),若木片φ′=35°,则f1=0.7 x——运输机倾角(度) L——运输机长度(m) b——机槽内廓宽度(m) h——物料层高度(m) G——刮板链条每米重量(N/m) G0——物料每米重量(N/m) n——物料对机槽两侧的侧压力  x——动力系数,当V≤0.32m/s时x=1.0;当V>0.32m/s时x=1.54 V——刮板链条速度(m/s) 其它同上 2.功率计算  式中 N——功率(kW) T1——同上 T2——刮板链条绕出链轮时的张力(N) T2=T0 (2-4-20) T0——刮板链条的初始张力(N) V——刮板链条速度(m/s) ηm——传动效率(%) |