网站首页  词典首页

请输入您要查询的字词:

 

字词 切贝雪夫大数定理
类别 中英文字词句释义及详细解析
释义

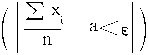
切贝雪夫大数定理Chebychev Laws of Large Numbers

设{xi}是一列两两相互独立的随机变量,服从同一分布,且存在有限的数学期望a 和方差σ2,则对任意小的正数ε,满足公式P=1。该定律认为:当n很大,服从同一分布的随机变量的算术平均数将依概率接近于这些随机变量的数学期望。即随着样本容量n的增加,样本平均数将接近于总体平均数。从而为统计推断中依据样本平均数估计总体平均数提供理论依据。

随便看

 

文网收录3541549条中英文词条,其功能与新华字典、现代汉语词典、牛津高阶英汉词典等各类中英文词典类似,基本涵盖了全部常用中英文字词句的读音、释义及用法,是语言学习和写作的有利工具。

 

Copyright © 2004-2024 Ctoth.com All Rights Reserved
京ICP备2021023879号 更新时间:2026/4/24 20:48:46