前列腺素类似物
天然前列腺素(PG)具有多种生理活性,给治疗应用带来困难;利用某一生理活性治疗某一疾病时,其他生理活性即为副反应;天然PG往往不稳定,作用时间短暂。70年代以来大力开展合成和研究PG类似物。
关于PG结构活性关系尚未完全清楚,较普遍的规律有:
❶ (15S)构型对活性极为重要。
❷15-位附近可适当改变,得到不受15PG脱氢酶失活作用的类似物,故产生长效、强效或提高其对组织或生理活性的选择性效果。
❸13、14去氢及17-杂氧类似物,一般不为15-PGDH失活。
❹PG环戊环和环上两侧链间的立体构型是保持生理活性的重要因素。
❺PG环内加入杂原子,如氮原子等,仍可能保持强活性。
❻9-去氧或11-去氧PG类似物可保留生物活性,提高作用的选择性。
❼上侧链中引入双键,代入杂氧原子或插入苯环、改变1-位羧基,可能产生抑制β-氧化失活,影响15-PGDH的失活效力,加强某些生理活性,提高选择性或产生拮抗作用。
❽在寻找具有新的性能的PG类似物而对PG结构进行改造时,往往从侧链及环改造几处同时进行效果较好。
已在临床试用的有PGE类似物、PGF类似物、PGI类似物。
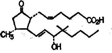
POE类似物(1) OP-1206,(17S)-17,20二甲基-反-△2-PGE1,用于治疗外周循环障碍及心肌缺血。

(2) ONO-802(gemeprost),16,16-二甲基-反-△2PGE

甲酯。用于早、中期妊娠流产,松弛子宫颈。

(3) Meteneprost,9-去氧-9-亚甲基-16,16-二甲基PG-E2。用于诱导月经,扩张子宫颈,人工流产。

(4) Arbaprostil,(15R)15-甲基PGE2。口服防治胃、十二指肠溃疡。

(5)(+) (16RS) 15-去氧-16-羟-16-甲基PGE
1甲酯。治疗胃溃疡。

(6) 11-去氧-11α,16,16,三甲基PGE
2。预防胃溃疡。

(7)(+)11α,16α-二羟-1,9-二氧-1-羟甲基-16-甲基-13-反前列烯。治疗胃溃疡。

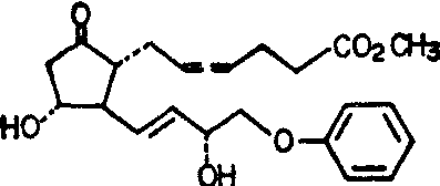
(8) Enprostil,(+)4,5-去二氢-16-苯氧-ω-失四碳
PGE
2甲酯。抗胃液分泌,保护胃粘膜。

(9) OI-PGE1,4、5、6-失三碳-3,7-插苯烯-3-杂氧-PGE
1。选择性支气管扩张,控制哮喘发作,抑制血小板聚集。

(10) 2-去羧-2-羟甲基PGE1。控制哮喘。

(11) Doxaprost(AY-24559),11-去氧-15ξ-甲基PG-E1。扩张支气管。

(12) 19β-羟基PGE1。扩张支气管。

(13) 16-甲基-20-甲氧PGE2。扩张支气管。

(14) HR-601,11-去氧-16,16二甲基-18-杂氧-反⊿
2-PGE1甲酯。降血压。

(15) CS-412,ω-异丙烯PGE2,控制哮喘。

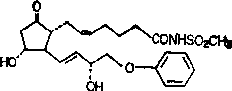
(16) Sulprostone (sulglandin),N-甲烷磺酰-16-苯氧-ω-失四碳PGE2酰氨。用于扩张子宫颈,人工流产
及产后大出血。

(17) CL116,147,17-苯-ω-失三碳PGE2。收缩鼻血管。

PGF类似物 (1) Carboprost (prostin/ 15-methyl),(15S)15-甲基PGF2α及其甲酯。用于人工流产,引发月经,扩张子宫颈。

(2) 16-[m-三氟甲基苯氧]-ω-失四碳-反-⊿
2-PGF
2α甲酯。治疗排尿困难。

(3) Equimate (fluprostenol,ICI81008),16-[m-三氟甲基苯氧]-ω-失四碳PGF
2α。诱导马发情,治疗马不育。

PGI类似物 (1)16-ζ-甲基-18,18,19,19-去四氢-9-碳杂PGI
2。治疗血管栓塞,体外循环时用作抗血小板聚集。

(2) Carbacyclin,9-碳杂PGI2。处理血管阻塞,抗血小板聚集。
