网站首页  词典首页

请输入您要查询的字词:

 

字词 动态均衡
类别 中英文字词句释义及详细解析
释义

动态均衡

一个经济系统,在各种变量将随时间的推移而变化时所处的均衡状态。在这种情况下,从一个时期到下一个时期,经济系统的均衡态势将发生变化。动态均衡分析的目的是,研究在有外来扰动的情况下,经济系统如何偏离均衡位置,又沿着怎样的时间路径恢复均衡,以及均衡的稳定性问题。

动态均衡

动态均衡Dynamic Equilibrium

指动态经济系统中各经济变量都处于一种平衡状态,在没有外来的扰动时,这种状态不会变化。关于动态系统,拉格纳·弗里希和保罗·A·萨缪尔森有一个精确的定义: “如果一个系统的行为自始至终都决定于一个或(一组) 函数方程,而此方程 (或方程组) 必须在实质上包含各个不同时刻的变化,则称这个系统为动态系统。”强调动态系统在 “实质上要包含各个不同时刻的变化”这一点很关键,并非引入时间因素就成为动态系统。所谓外来的扰动,是指一些影响这个动态系统的那些外生因素的变动。在动态经济系统中,外生因素一般包括:(1) 宏观经济政策; (2) 人口的增加; (3) 技术进步; (4) 产业组织形式的变革; (5) 消费者的消费倾向等等。
有两种形式的动态均衡。第一种动态均衡是其均衡状态与时间无关,当经济系统处于这种状态时,系统内各变量都不变化,保持在一个固定的数量上。第二种是其均衡状态是时间的函数,随着时间的变化而运动,即处于这种均衡状态时,经济系统内的某些变量是随着时间的变化而运动的,这种均衡又称为运动均衡。这就像在物理学中,静止是一种均衡状态,匀速运动也是一种均衡状态一样。下面举例说明这两种动态均衡。
首先,考虑一个简单的宏观经济动态模型:
Ct=a+cYt-1

(1)


Y1=Ct+I0

(2)


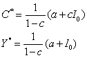
其中,(1)式为动态消费函数,表示当期消费Ct是前期国民收入Yt-1的函数,c表示边际消费倾向; (2) 式为国民收入Yt的定义方程式,是个恒等式,I0为投资,在这个模型中是个外生变量。这个模型的均衡状态是第一种均衡: 设C*和Y*为Ct和Yt的均衡值,当该系统处于均衡位置时,各变量必须保持在其均衡值,即对于任何时刻都有Ct=C*,Yt=Y*。因此,在均衡状态这个模型变为:
C*=a+cY*

(3)


Y*=C*+I0

(4)


求解(3)、(4)得内生变量的均衡值为:


它与在静态情况时得到的解完全相同。一般说来,具有这种均衡的动态系统都存在一个描述其均衡位置的相应的静态系统。但一个静态系统可能对应多个动态系统,所以这种关系不是一一对应关系。
然后,再给出一个简单的哈罗德经济增长模型 (龚德恩、舒辅琪、俞翔华,1990,P.56):
St=sYt-1

(5)


It=k(Yt-Yt-1)

(6)


St=It

(7)


其中,St表示当期计划储蓄,s为边际储蓄倾向,0t,Yt-1和It分别表示当期、前期国民收入和当期计划投资,k为加速数,k>0; 将(5)、(6)代入均衡条件(7)可以求得国民收入:


其中A为常数,等于国民收入的初始值; s/k是一个常数,哈罗德称为 “保证增长率” (8)式说明,国民收入具有一个稳定的增长率s/k,它的经济含义是: 如果国民收入按照这个增长率稳定增长,就能保证计划储蓄和计划投资达到动态均衡,此时这个经济系统也处于一种动态均衡中。
分析动态均衡的一个重要目的就是弄清系统的均衡是如何实现的,即当外来的扰动使系统偏离均衡位置时,系统能否恢复均衡,沿着怎样的路径恢复均衡,以及均衡的稳定性问题。这些问题是静态均衡分析回答不了的。因此,在动态均衡方法分析中,必须分析动态系统中各变量的时间路径,并且通过对时间路径的分析,确定均衡是否稳定。如上面的哈罗德经济增长模型中的均衡位置就是不稳定的: 一旦外来的扰动 (哪怕非常小) 使国民收入偏离均衡增长路径,那么国民收入就会离这个均衡位置越来越远,这也是哈罗德经济增长模型受到批评的原因之一,因为该模型表明稳定的经济增长几乎是不可能的。值得说明的是,动态系统的均衡位置可能不只一个。
☚ 静态均衡   经济增长方式 ☛
00000163
随便看

 

文网收录3541549条中英文词条,其功能与新华字典、现代汉语词典、牛津高阶英汉词典等各类中英文词典类似,基本涵盖了全部常用中英文字词句的读音、释义及用法,是语言学习和写作的有利工具。

 

Copyright © 2004-2024 Ctoth.com All Rights Reserved
京ICP备2021023879号 更新时间:2026/1/17 12:52:54