网站首页  词典首页

请输入您要查询的字词:

 

字词 动能
类别 中英文字词句释义及详细解析
释义

动能dòngnéng

物体由于机械运动而具有的能量。在通常情况下,运动物体的动能大小是运动物体的质量和速度平方乘积的1/2。

动能

动能

由物体机械运动所决定的能量。在平动中动能E平=1/2mV2,在转动中动能E转=1/2Jω2。而体操运动员身体的动能,应当等于身体系统质心的动能同系统相对于质心转动的动能之和:E动=1/2mV2c+1/2Jcω2,其中Vc为身体质心运动速度,Jc为身体系统绕质心转动的转动惯量。由于运动员所做动作的结构不同,其动能的平动成分与转动成分之比值亦异。据资料记载,在大摆类动作中,平动动能是转动动能的4~5倍;而在小回环类动作中,转动动能可大到6~7倍(引自苏联体育学院教科书《竞技体操》1979年出版,俄文版)。
从运动生物力学角度讲,体操运动员身体动能还等于该系统所有环节动能之和。做摆动动作时,因为运动员双腿通常是速度最快的环节,所以双腿是主要的“载能体”,即双腿是摆动动作主要的做功环节。由于腿部拥有最大的能量,所以当运动员做相应动作时,就能利用双腿反作用地把能量重新调配至邻接环节并影响其运动特性。

☚ 势能   机械能守恒定律 ☛

动能dòng néng

物体由于运动而具有的能。1915年《袖珍英汉辞林》“Energy”条:“Kinetic energy,动力,活势,动能。”1936年《科学画报》第三卷第十六期:“高压力蒸汽经过一组喷射管时,膨胀而获得高速度,于是一部分的‘热能’变为射出汽的‘动能’。”

能量

能量

能(位~;动~;热~;电~;磁~;光~;核~;化学~)
物质燃烧或内部分子规则运动放出的能:热(热能;热量;热力)
电或带电物质的能:电(电能;电力;~量;~位;~子;~气)
磁体场所具有的能:磁(磁力;磁能;~性;电~;地~)
光所具有的能:光能
弹药发射的破坏力:火力
弹道纵横交错的密集火力:火网
抵抗外力作用的能力:强度
能引起生物体损害的能力:毒性
剧烈的毒性:剧毒
很高的能量:高能
(物体做功能力大小的物理量:能量)

☚ 力   吸引力 ☛
动能

动能dongneng

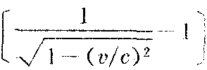
物体由于做机械运动而具有的能量。质点的动能定义为Ek=1/2。式中m是质点的质量,v是质点的运动速度。它是一个恒正的标量。动能具有相对性,选取不同的参照系,动能的数值一般是不同的。动能具有瞬时性,说某个质点的动能时,必须指明这个质点在什么时刻或什么位置的动能。当质点的速度大小发生变化时,它的动能也随着状态的变化而变化,动能是质点运动状态的单值函数。动能和动量都是描写质点机械运动状态的物理量,这两种量度的区别是:动量是以机械运动来量度机械运动的;动能是以机械运动转化为一定量的其他形式运动的能力来量度机械运动的。在机械运动范围,各种运动相互转移的过程中,可以用动量,也可以用动能来描写质点机械运动的状态;在机械运动与非机械运动之间相互转化的过程中,只用动能来描写质点机械运动的状态。质点动能的改变,是力对空间积累作用,即力做功的效应;质点动量的改变,是力对时间积累作用,即力的冲量的效应。质点系的动能是它所有质点相对同一参照系的动能之和。对于微观粒子,当它的速度接近光速时,其动能等于m0c2,式中m0是质点的静止质量,c是光速,v是质点的速度。刚体运动可以分成质心平动和绕质心转动两部分,故其动能也是平动动能和转动动能之和,即1/2Mv2c+1/2Iω2,式中M是刚体的质量,vc是其质心的速率,I是刚体对通过质心并与瞬时转轴平行的轴的转动惯量,ω是刚体转动角速度的大小。

☚ 能量   动能定理 ☛

动能

物体由于机械运动所具有的能量。参见“物理”中的“动能”。


动能

物体由于运动而具有的作功本领。平动物体的动能等于mv2/2;m为物体质量,v为物体速度。物体在外力作用下,如运动发生改变时,其动能的增加(或减少)值等于外界对物体(或物体对外界)所作的机械功。因此,利用物体的动能可以对外界作功,例如水力发电等。

动能

kinetic energy


动能

kinetic energy


动能

kinetic energy

随便看

 

文网收录3541549条中英文词条,其功能与新华字典、现代汉语词典、牛津高阶英汉词典等各类中英文词典类似,基本涵盖了全部常用中英文字词句的读音、释义及用法,是语言学习和写作的有利工具。

 

Copyright © 2004-2024 Ctoth.com All Rights Reserved
京ICP备2021023879号 更新时间:2025/10/18 16:57:49