网站首页  词典首页

请输入您要查询的字词:

 

字词 双变量正态分布
类别 中英文字词句释义及详细解析
释义
双变量正态分布

双变量正态分布

当两个随机变量之间有直线相关关系,且这两个变量各自均服从正态分布,就形成双变量正态分布,它的图形称双变量正态曲面或正态相关曲面。
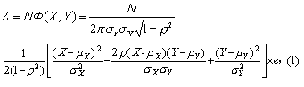
正态相关曲面的图形和方程 相关表(如下表)是X、Y两变量结合起来分组的复合表。在相关表上,若以各组段所形成的方格内的频数为Z,则双变量的频数分布呈立体形。当X和Y均为正态分布,X与Y之间是直线相关,样本含量越大,分组越细时,此分布将逐渐形成以X、Y、Z为坐标的正态相关曲面,如图1。其平行于X Y坐标平面的截面为椭圆形(如图2),相关的程度越高,椭圆越扁。正态相关曲面的方程为

式中N为总例数,ρ为总体相关系数,μX和σX为X的总体均数和标准差,μY和σY为Y的总体均数和标准差。上述参数未知时,分别以样本的相应统计量来估计。


图1 正态相关曲面


正态相关曲面的三个重要特性是:
❶任何与XY坐标平面平行的水平截面均为椭圆形。ρ的绝对值越大,椭圆的短轴越短,当ρ→±1时,以其回归直线为极限;ρ的绝对值越小,椭圆的短轴越接近于其长轴,当ρ→0时,以圆为极限。
❷任何与ZY坐标平面平行的截面,其周边均为正态曲线,这些正态曲线的均数之轨迹就是由X推算Y的回归直线。
❸任何与ZX坐标平面平行的截面其周边亦为正态曲线,其均数之轨迹是由Y推算X的回归直线。
计算正态相关曲面时资料的适用条件是:
❶大样本计量资料;
❷X与Y两个变量之间必须有相关联系;
❸X、Y服从双变量正态分布或近似双变量正态分布,否则应先作变量变换使之正态化。
正态双变量资料的分析方法
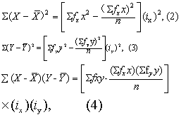
(1)计算大样本相关系数和回归系数等。在相关表上用简捷式(2)~(4)计算离均差平方和及积和:


式中fx和fy分别为X变量和Y变量各组段的频数; f为相关表小方格内的频数;ix和iy分别为X变量和Y变量各组段的组距。


由X推算Y的回归线lY·X的方程为


由Y推算X的回归线lX·Y的方程为


(2)将(X,Y)值作散点图,显示双变量资料的个体分布。
(3)按照双变量正态分布包括个体的百分数,可计算上述水平截面的椭圆在XY平面上的投影,用于估计在相关条件下的个体正常值范围。水平截面的椭圆方程


式中均以样本统计量作为相应总体参数的估计值。λ与概率水准α及r有如下关系:


由式(10)与式(12)可作包含95%个体值在内的椭圆,由式(10)与式(13)可作包含99%个体值在内的椭圆。
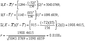
例 某市156名10岁女童的身高(cm)和体重(kg)的频数分布经整理后如表。试计算相关系数,并作假设检验;求直线回归方程;计算椭圆方程;作图并分析。

某市10岁女童的身高体重相关表


(1)按相关表计算基本数据。
为组中值。 计算fxx, fxx2, fyy ,fyy2,方法与单变量时相同。
计算∑fx,如横行内1(8)=8,横行内1(-4)
+3(-2)+12(-1)+3(0)+1(1)+2(2)=-17,余类推。注意,表下方倒数第二行∑fxx必须与表右起第二栏的∑fx总计相等,此例均为-72。再计算∑fxy,见表最右栏。
(2)计算相关系数并进行假设检验。
H0:ρ=0,
H1:ρ≠0。
α=0.05。


v=156-2=154,查相关系数界值表,得P<0.01,按α=0.05水准,拒绝H0,接受H1,故可认为X与Y有直线关系。(3)计算回归系数及回归方程,(参见条目“直线回归”)。


(4)计算正态相关曲面方程及其水平截面椭圆方程。
按式(1)计算正态相关曲面方程:


简化得:

按式(12)、(13)及式(10)求水平切面椭圆方程:
α=0.05 λ2=5.99146[1-(0.8108)2]=2.0527,α=0.01 λ2=9.21034[1-(0.8108)2]=3.1555,


(5) 作图。将156人身高、体重的原始数据画散点图(图2);按lY·X的方程及lX·Y的方程作两回归直线;把适当的X值代入95%和99%范围的椭圆方程,即得相应的Y值,再以此各对数值(X,Y)作图,就是图2上的两个椭圆。内椭圆表示95%范围,实际包括149个点子,占149/156=95.5%:外椭圆表示99%范围,实际包括154个点子,占154/156=98.7%,均与理论估计很接近。作图时,注意椭圆在X方面的极大点和极小点就是它与直线lY·X相交的二个交点,在Y方面的极大点和极小点就是它与直线lX·Y相交的二个交点。计算极值点时,把椭圆方程与直线回归方程联解即得。
(6)分析。本例椭圆的短轴与长轴相差悬殊,表明身高与体重相关密切。图2中分布于右上方的点子代表身高与体重均达到同年龄、性别中的较高水平者;左下方的点子代表身高与体重均在较低水平者; 分布于邻近回归线的点子代表“匀称”的体型(无论水平高低),而右下方的少数点子属于“瘦高”体型,左上方的少数点子则属于“矮胖”体型。


内圆:95%范围 外圆:99%范围
图2 10岁女童身高与体重相关图及其正常值范围

☚ F分布   变量变换 ☛
00013172
随便看

 

文网收录3541549条中英文词条,其功能与新华字典、现代汉语词典、牛津高阶英汉词典等各类中英文词典类似,基本涵盖了全部常用中英文字词句的读音、释义及用法,是语言学习和写作的有利工具。

 

Copyright © 2004-2024 Ctoth.com All Rights Reserved
京ICP备2021023879号 更新时间:2026/4/18 18:44:33