叠氮脱氧胸苷和双脱氧胞苷
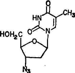
叠氮脱氧胸苷(AZT,3′-Azido-2′,3′-dideoxythymi-dine) 为胸苷类似物,糖环2′位脱氧,3′位为N3所置换,体外抑制艾滋病病毒病毒录酶和T淋巴细胞病变。作用机制主要为叠氮脱氧胸苷被细胞酶转化为三磷酸化合物,抑制艾滋病毒逆转录酶,阻断5′-3′磷酸二酯键,中止病毒DNA合成和末端延伸,使病毒复制受到抑制。临床口服或静注治疗艾滋病,改善病情,减少死亡,延长生命,但尚不能清除病毒,已有商品。

叠氮脱氧胸苷

双脱氧胞苷
双脱氧胞苷 (ddcyd,2′,3′-dideoxycytidine)为胞苷糖环2′,3′位脱氧衍生物,活性与作用机制与叠氮脱氧胸苷相似,临床试用治疗艾滋病有效。