x2—分布
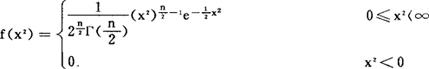
小样本推断中最常用的分布。 英国统计学家卡尔·皮尔逊提出。设x1,x2,……,xn是相互独立,且同服从于标准正态分布的随机变量,则随机变量 服从参数为n(称为自由度),密度函数为:  的分布,即称为x2-分布。 其期望值为n,方差为2n。x2-分布上100α百分位点 (n)是指满足 的点 (n)。 对不同的α及n的100α百分位点有x2表可查。该分布与 ,p=n时的Γ分布相同。当n很大时 近似服从正态分布N( ,1)。统计中常用的有关x2-分布的理论结论有如下的定理。 定理1:若X为具有方差σ2的正态变量,S2为抽自X的总体,容量为n的随机样本的样本方差,则nS2/σ2服从自由度为n-1的x2-分布。定理2:如果 , 彼此独立且分别服从自由度为v1、v2的x2-分布,则 + 服从自由度为v1+v2的x2-分布。x2-分布在列联表、方差估计、分布和随机样本参数的假设检验中有著广泛的应用。 |