网站首页  词典首页

请输入您要查询的字词:

 

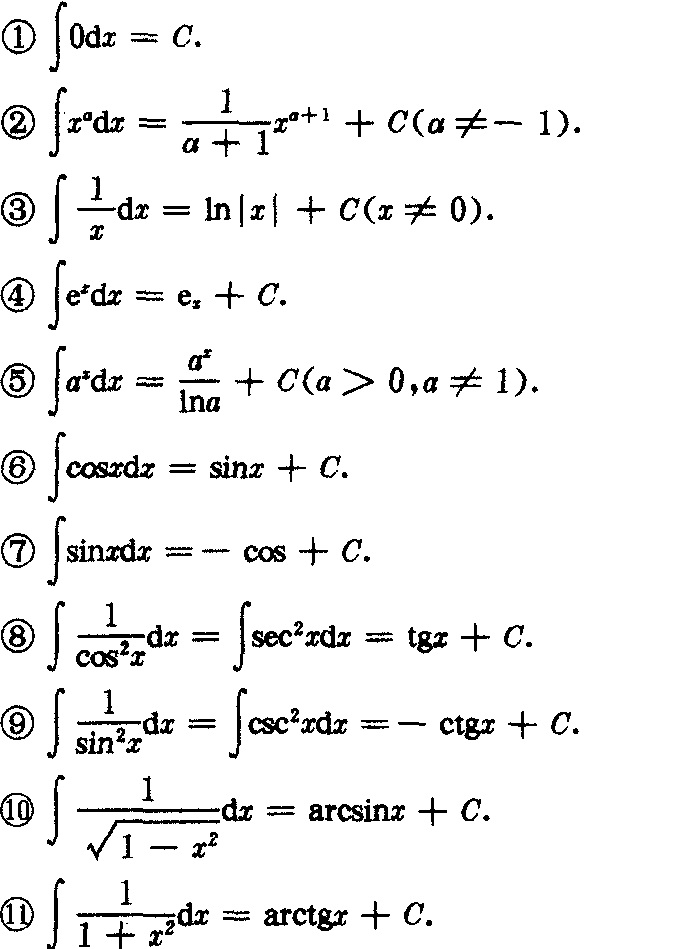
字词 基本积分表
类别 中英文字词句释义及详细解析
释义
基本积分表

基本积分表jiben Mifenbiao


公式
❷的几个特殊情形:

☚ 不定积分的线性运算法则   不定积分的第一换元积分法 ☛
00013546
随便看

 

文网收录3541549条中英文词条,其功能与新华字典、现代汉语词典、牛津高阶英汉词典等各类中英文词典类似,基本涵盖了全部常用中英文字词句的读音、释义及用法,是语言学习和写作的有利工具。

 

Copyright © 2004-2024 Ctoth.com All Rights Reserved
京ICP备2021023879号 更新时间:2025/10/17 12:43:50