复数的加法fushu de jiafa
两个复数相加时将实部与实部相加,所得的和做为和的实部;将虚部与虚部相加所得的和做为和的虚部.即:若z1=a1+b1i,z2=a2+b2i则z1+z2=(a1+a2)+(b1+b2)i.这就是复数的加法法则.
这样规定复数的加法自然地把实数的加法包含在内而成为复数加法的特例.(当b1=b2=0时,z1,z2是两个实数a1、a2,那么z1+z2=a1+a2)
显然两个复数的和仍然是一个复数.
复数的加法满足交换律与结合律.即
这些不难从实数的加法满足交换律与结合律得到验证.
这样规定复数的加法法则与向量求和的意义是一致的.因为一个复数对应一个向量,将两个复数相加的几何意义就是求这两个复数所对应的向量之和.而求向量和是按平行四边形法则进行的.例如,


分别是复数z
1=a
1+b
1i,z
2=a
2+b
2i所对应的向量.如果


不在一条直线上(如图),则可由平行四边形法则求得

+

=

.易证明△OP
2Q≌△P
1PS,及四边形TP
1SR是矩形.故P点坐标为(a
1+a
2,b
1+b
2).因而

所对应的复数为(a
1+a
2)+(b
1+b
2)i.以上给出了复数加法的几何解释(几何意义)及用求向量和的平行四边形法则求复数的和的几何方法.即,要求两个复数z
1与z
2之和,可以先画出与这两个复数相对应的向量

.若


不在同一直线上,再以这两个向量为邻边作出平行四边形,其对角线向量

所对应的复数即为所求复数z
1与z
2的和.若

与

在同一直线上,则可以画一个“压扁”了的平行四边形,并据此作出对角线.
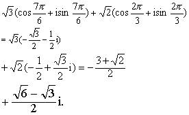
两个三角形式的复数求和,一般先将它们改写成代数形式之后再相加,例如.

