网站首页  词典首页

请输入您要查询的字词:

 

字词 多个方差的齐性检验
类别 中英文字词句释义及详细解析
释义
多个方差的齐性检验

多个方差的齐性检验

已知多个样本(理论上均来自正态总体)方差,可据此推断它们分别代表的总体方差是否相等,即多个方差的齐性检验(参见条目“两个方差的齐性检验)。常用于:
❶说明多组变量值的变异度有无差别。
❷为了比较多个样本均数而作方差分析时,须进行方差齐性检验。如方差齐,宜用F检验;方差不齐宜用F'检验或其他方法。多个方差的齐性检验最常用的是Bartlett检验 (M. S.Bartlett,1937)。
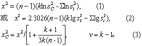
Bartlett检验时须计算统计量x2C值,根据各样本含量是否相等,x2C值的算法略有不同:
(1) 当各样本含量相等时,用式(1)或式(2)计算x2值,再用式(S)求其校正值x2C

式(1)用自然对数,式(2)用常用对数,二者结果相同,式(3)是为了校正。式中n为每个样本的含量;k为样本个数;si2为各样本的方差;s2C为合并方差,当各样本含量相同时,s2C=∑s2i/k;v为自由度。
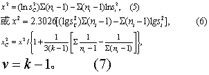
(2) 当各样本含量不等时,须先用式(4)计算合并方差s2C


式中SSi为各样本的离均差平方和,vi为各样本的自由度,ni为各样本含量。
再用式(5)或式(6)计算x2值,最后用式(7)求其校正值x2C。


式中ni为各样木含量,其余符号同前。
求得x2C值后,查x2界值表得P值,按所取检验水准作出推断结论。
例1 试检验表1八个方差的齐性。

表1 八个样本的观察值X及其方差

 样 本
12345678
X91.9
86.9
103.0
102.3
71.5
73.6
81.3
52.8
53.0
55.5
57.3
105.5
96.2
74.4
117.6
103.3
105.9
87.9
82.0
120.5
69.4
60.8
82.3
37.0
99.8
87.9
59.4
61.8
99.3
106.4
82.2
118.0
g261.54146.19633.96324.13307.35364.24393.08224.53

H0:八个总体方差相等,
H1:八个总体方差不等或不全相等。
α=0.05。
按式(1)及式(3):


查x2界值表得0.95>P>0.50,按α=0.05水准不拒绝H0,故可认为八个总体方差齐。
例2 丙烯腈和乙腈毒性联合作用实验,取家兔22只,用四种不同浓度染毒2月后测定血中硫氰酸盐含量(mg/L),结果见表2,检验四组方差的齐性。

表2 四组测定值的方差齐性检验

 对照组低浓度中浓度高浓度
X2.1
3.1
2.0
1.4
7.3
4.6
3.0
10.5
7.6
14.3
7.8
35.0
50.0
25.0
29.0
60.0
90.0
90.5
91.0
78.0
70.5
79.6
∑X
ni
i
SSi
s2i
8.6
4
2.15
1.49
0.4967
55.1
7
7.87
83.07
13.8457
199
5
39.8
870.80
217.7000
499.6
6
83.27
361.63
72.3267

H0:四个总体方差相等,
H1:四个总体方差不等或不全相等。
a=0.05。
按式(4)、式(5)、式(7):


查x2界值表得P<0.005,按a=0.05水准拒绝H0,接受H1,故可认为四组的方差不齐。
☚ 两个方差的齐性检验   序列的随机性检验 ☛
00013236
随便看

 

文网收录3541549条中英文词条,其功能与新华字典、现代汉语词典、牛津高阶英汉词典等各类中英文词典类似,基本涵盖了全部常用中英文字词句的读音、释义及用法,是语言学习和写作的有利工具。

 

Copyright © 2004-2024 Ctoth.com All Rights Reserved
京ICP备2021023879号 更新时间:2025/10/19 17:33:54