一元二次回归预测法
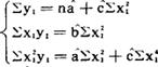
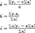
指利用一个自变量与因变量之间的非线性关系进行预测的方法。 其特点是影响预测值的因素只有一个,且预测值与该因素不成线性关系,反映在图形上是一条曲线。 这种方法与一元线性回归预测法的共同点是都只有一个自变量,但它们的根本区别在于前者反映的关系是非线性的,而后者反映的关系则是线性的。 一元二次回归预测法的数学模型为: 式中:y表示预测值(即因变量);x表示影响因素(即自变量); 、 、 表示系数。 利用这种方法进行预测时,关键是要确定该模型,而该模型建立的基础,是求出系数 、 、 ,它们也可用最小二乘法求得,求它们的标准方程式为:  通过这三个联立方程,就可求出 、 、 。 但直接解方程往往较困难,为此需用一定的方法将所收集到的资料(主要是x1和y1)进行整理,然后通过较简捷的方法求 、#和 ,一般用得较多的方法是:将统计资料n取奇数,并将x1=0置于资料中间,使得∑x1=0, ,于是上述三个联立方程可简化为:  则  利用这种方法进行预测时,首先要收集一系列x与y的资料,然后通过分析整理,检验x与y的关系是否符合 模型,若符合,则再通过上述方法求出 、#、 后,据此建立具体的预测模型 最后方能利用该模型进行预测。 |