一元二次方程根与系数的关系
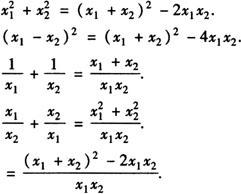
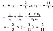
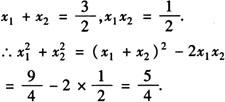
一元二次方程ax2+bx+c=0的两个根x1,x2与系数a,b,c存在如下关系:x1+x2=-b/a,x1·x2=c/a. 注意1.一元二次方程根与系数的关系也称为韦达定理. 2.一元二次方程根与系数关系,有以下几种常见的变形形式.  例1 已知一元二次方程x2-2x-1=0的两个根是x1,x2,则 __,x1-x2=__. 答 6,±2 . [解析] 由根与系数的关系,有x1+x2=2,x1·x2=-1,只要能用x1+x2,x1·x2来表示 ,x1-x2,就可以实现由已知向未知的转化,所以得 . (x1-x2)2=(x1+x2)2-4x1x2=8,即 . 例2 已知方程3x2+2x-11=0的两根分别为x1,x2,则 的值是( ).  答 A. [解析] 由根与系数关系,有  故选A. 例3 若x1,x2是一元二次方程2x2-3x+ 1=0的两个根,则 的值是__.  [解析] 由根与系数关系,有  例4 已知一元二次方程x2+3x+1=0的两个根x1,x2,那么(1+x1)(1+x2)的值等于__. 答 -1. [解析] 由根与系数的关系: x1+x2=-3,x1x2=1. ∴(1+x1)(1+x2) =1+x1+x2+x1x2 =1-3+1=-1. |