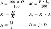
一吨(t)生丝需要的干茧等用量
是指生产1t生丝需用的干茧量、鲜茧量、桑园亩数、桑树株数、用桑叶量、蚕种张数和蚕的头数等。 其基本式:  G1=J·G 式中 P——1t生丝的干茧用量(kg); O——缫折(kg); M——1t生丝的鲜茧用量(kg); L1——烘折(kg); K1——1t生丝所需桑园亩数(亩); K——亩桑园产茧量(kg); A1——1t生丝所需桑树株数(株); A——亩桑数株数(株); j1——1t生丝所需蚕种张数(张); j——张蚕种产茧量(kg); D1——1t生丝所需的蚕头数; D——1张蚕种头数; G1——1t生丝所需用的叶量(kg); G——1张蚕种用叶量(kg)。 例 设 P=2800kg O=280kg M=6860kg L1=245kg K1=6484.48亩 K=105.84kg A1=9075株 A=1400株 j1=194.4张 j=35.25kg D1=635040头 D=1800头 G1=136080kg G=700kg  A1=64.82×1400 =9075株 D1=194.4×18000 =635040头 G=194.4×700 =136080kg 这说明生产1t生丝需用干茧2800kg;需用鲜茧6860kg;需用桑田64.82亩;需要桑树9075株;需用蚕种194.4张;需要熟蚕635040头;需用桑叶136080kg,等。也即每kg干茧生产生丝(1000/2800)=0.357kg;每kg鲜茧生产生丝(1000/6860)=0.146kg;每亩桑田生产生丝(1000/64.82)=15.43kg;每棵桑树生产生丝(1000/9075=0.11kg;每张蚕种生产生丝(1000/194.4)=5.14kg;每头蚕生产生丝(1000×1000/635040)=1.57g;每kg桑叶生产生丝(1000×1000/136080)=7.35g。 |