网站首页  词典首页

请输入您要查询的字词:

 

字词 一年定期死亡保险计算
类别 中英文字词句释义及详细解析
释义 一年定期死亡保险计算

寿险计算方法。公式(以1元保额为基数):

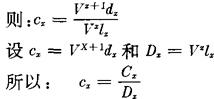
将分子和分母同乘以Vx

另外,由公式可知:cx实际为V与qx的乘积。在上述算式中,v为贴现因子(1+i)-1,dx为死亡表中在x岁与x+1岁之间一年内的死亡人数,lx为死亡表中生存至x岁人数,cx为一年定期死亡保险纯保费,qx是年龄x岁人在次年内的死亡率;cx与Dx常称为寿险精算换算符号。cx=Vx+1dx、Dx=Vxlx

随便看

 

文网收录3541549条中英文词条,其功能与新华字典、现代汉语词典、牛津高阶英汉词典等各类中英文词典类似,基本涵盖了全部常用中英文字词句的读音、释义及用法,是语言学习和写作的有利工具。

 

Copyright © 2004-2024 Ctoth.com All Rights Reserved
京ICP备2021023879号 更新时间:2025/10/19 18:53:39