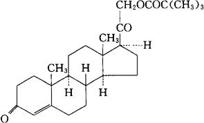
三甲醋酸去氧皮质酮
C26H38O4=414.58 CAS-64-85-7(desoxycortone) 21-(2,2-二甲基-1-氧丙氧基)孕甾-4-烯-3,20-二酮。 21-(2,2-Dimethyl-1-oxypropoxy)pregn-4-ene-3,20-dione. 11-脱氧皮质酮三甲基乙酸酯。 11-Deoxycorticosterone trimethylacetate. 肾上腺皮质激素类药。 去氧皮甾酮三甲基乙酸酯。 Desoxycorticosterone Trimethylacetate,Desoxycortone Trimethylacetate, Desoxycorticosterone Pivalate. INN(Desoxycortone),BAN(Deoxycortone),USAN,USP.  |