网站首页  词典首页

请输入您要查询的字词:

 

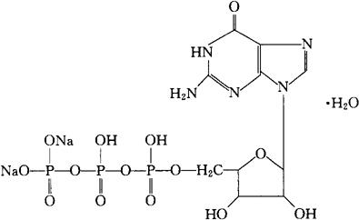
字词 三磷酸鸟苷钠
类别 中英文字词句释义及详细解析
释义 三磷酸鸟苷钠

C10H14N5Na2O14P3·H2O=585.19

三磷酸鸟嘌呤核甙钠一水化合物。

Guanosine sodium triphosphate,monohydrate.

辅酶类药。用于迁延性肝炎、慢性肝炎、进行性肌萎缩等。

鸟三磷钠。

GTP Na,Guanosine Sodium Tiphosphate.

注射用三磷酸鸟苷钠。

随便看

 

文网收录3541549条中英文词条,其功能与新华字典、现代汉语词典、牛津高阶英汉词典等各类中英文词典类似,基本涵盖了全部常用中英文字词句的读音、释义及用法,是语言学习和写作的有利工具。

 

Copyright © 2004-2024 Ctoth.com All Rights Reserved
京ICP备2021023879号 更新时间:2026/4/18 11:30:52