网站首页  词典首页

请输入您要查询的字词:

 

字词 三角函数线
类别 中英文字词句释义及详细解析
释义 三角函数线

如图,角α的三角函数值可以用单位圆中的有向线段表示:sinα=MP,cosα=OM,tanα=AT,cotα=BS

MP、AT的方向和y轴的正向一致时是正的,相反时是负的,OM、BS的方向和x轴的正向一致时,是正的,相反时是负的.单位圆中的有向线段MP、OM、AT、BS分别叫做角α的正弦线、余弦线、正切线和余切线.

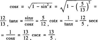
例1 已知,求x的其他三角函数值.

解 因为,所以x是第一、二象限的角.

(1)若x是第一象限的角,则

(2)若x是第二象限的角,则

分析 利用同角三角函数平方关系式化简,注意“1”的灵活运用.

解 原式

例3 把下列各三角函数化为锐角的三角函数:

解 (1)sin(—998°)=—sin998°=—sin[3×360°+(—82°)]=—sin(—82°)=sin82°.

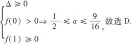
例4 已知方程x2—3/2x+a=0的两根为sinα,sinβ,则a的取值范围是( ).

A.|a|≤1 B.

C.a≥1/2 D.以上都不对

分析 很多学生没有挖掘出题中的隐含条件sinα+sinβ=3/2,不知原方程有两正根.(1)认为|sinβ|≤1,错选A.(2)认为sinα,sinβ∈,错选B.

解 ∵sinα+sinβ=3/2,根据正弦函数的有界性易知0

例5 化简:

(1)cosα(2secα+tanα)(secα—2tanα)+3tanα;(2)sin2α·tanα+cos2α·cotα+2sinαcosα—cotα.

分析 注意到函数名称多的特点,把切割化弦后再化简.

解 (1)原式

随便看

 

文网收录3541549条中英文词条,其功能与新华字典、现代汉语词典、牛津高阶英汉词典等各类中英文词典类似,基本涵盖了全部常用中英文字词句的读音、释义及用法,是语言学习和写作的有利工具。

 

Copyright © 2004-2024 Ctoth.com All Rights Reserved
京ICP备2021023879号 更新时间:2026/4/18 11:00:40