三角函数预测法
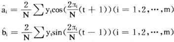
通过三角函数关系来描述周期性经济变量的运动规律,并进行各种预测的一种方法。 其数学模型的基本形式如下: 实际应用中,由于不可能用无穷多个三角函数进行叠加,因此对于观察值的时间序列,只能用有限个三角函数的叠加去近似。通常,如果有N个观察值y1,y2,…,yN,若N是奇数时,就用 个三角函数去近似yt;若N是偶数时,就用 个三角函数去近似yt。即:  式中,T1为三角函数的周期, 和 m)为待估参数。  式中, 和 为利用四归方程计算, 和 可利用下式求出:  利用模型预测时,只需将时间变量代入方程即可。 |