网站首页  词典首页

请输入您要查询的字词:

 

字词 三角形中的常见边角关系
类别 中英文字词句释义及详细解析
释义 三角形中的常见边角关系

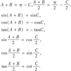
1.A+B+C=π,

2.任意两边之和大于第三边,任意两边之差小于第三边.

3.三角形中大边对大角,大角对大边.

4.正弦定理为△ABC外接圆直径),

5.余弦定理:a2=b2+c2—2bccosA,

b2=a2+c2—2accosB,

c2=a2+b2—2abcosC

6.射影定理:a=bcosC+ccosB

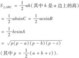
7.面积公式:

随便看

 

文网收录3541549条中英文词条,其功能与新华字典、现代汉语词典、牛津高阶英汉词典等各类中英文词典类似,基本涵盖了全部常用中英文字词句的读音、释义及用法,是语言学习和写作的有利工具。

 

Copyright © 2004-2024 Ctoth.com All Rights Reserved
京ICP备2021023879号 更新时间:2025/12/1 23:51:07