三辊压榨的偏心距的计算
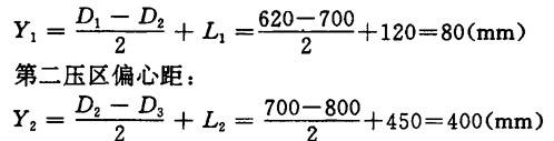
【说明】 三辊压榨的两个压区压榨线压是否呈直线的判断方法与双辊压榨类同,如图1-15-64所示。 1.第一压区偏心距的计算 【公式】  式中 Y1——第一压区偏心距(mm) D1、D2——下辊和中间辊直径(mm) L1——垂线(右)与下辊间距(mm) 2.第二压区偏心距的计算 【公式】  式中 Y2——第二压区偏心距(mm) D3——上辊直径(mm) L2——垂线(左)与中间辊面的间距(mm) 【例】 如图1-15-64所示,主动沟纹底辊D1=620mm,真空传动辊D2=700mm,L1=120mm,上石辊D3=800mm,L2=450mm,则偏心距为: 第一压区偏心距:  |