岛青霉毒素对食品污染
岛青霉毒素是岛青霉产生的一组代谢产物。主要包括黄天精、环氯素、岛青霉毒素和红天精等。Tsunoda等于1948年从大米中分离出岛青霉。岛青霉侵染大米后,可使大米呈黄色或黄褐色,即为岛青霉黄变米。
产毒菌种: 本菌可分为三个型,即岛青霉素型、黄天精型和红天精型。一般在谷类中出现的菌株多为岛青霉素型。
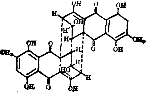
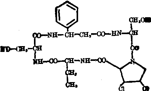
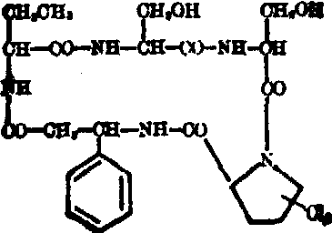
化学构造及特性: 黄天精为脂溶性化合物。在苯中重结晶后呈黄色针状结晶,分子式为C30H22O12。结构式如图1。环氯素和岛青霉毒素均为含氯肽,皆为亲水性化合物,呈无色针状结晶。分子式为C25H36O
Cl2。化学结构式如图2和图3。红天精为橙红色结晶,分子式为C26H33O6N,溶于氯仿、甲醇、苯、醋酸和吡啶,微溶于乙醚、己烷和石油醚。红天精的化学结构式见图4。

图1 黄天精

图2 环氯素

图3 岛青霉素

图4 红天精
毒性: 黄天精为肝脏毒,给动物注射黄天精24h后,肝脏变软,变黄。组织学变化特点是小叶中心性坏死和肝细胞脂肪变性。每天每只用50μg黄天精长期饲喂小鼠,可引起动物肝肿瘤。给小鼠每日饲喂40~66μg环氯素,可导致小鼠肝硬变、肝纤维化和肝肿瘤。动物注射红天精后,可出现肝小叶中心性坏死,肾损害及脾、胸腺和淋巴结等细胞的明显崩解。各种岛青霉毒素对小鼠的LD
50(mg/kg体重)黄天精为:静脉6.65,腹腔注射40.8,皮下注射147.0,经口灌胃221.0; 环氯素为:静脉0.34,皮下注射0.48,经口灌胃6.55;红天精为:腹腔60.0。
检验方法:
❶岛青霉菌丝体或培养物用甲醇、乙醚或丙酮提取,经CaHPO
4柱,碳-Na
2SO
4(结晶)(1:20)柱或活性炭柱进行柱层层析,甲醇或丙酮重结晶后,即得黄天精结晶。
❷岛青霉培养物浓缩10倍,用醋酸乙酯、正丁醇顺序提取。获得粗制环氯素,再用pH7.0磷酸盐缓冲液清洗,将正丁醇蒸发,残渣用甲醇重结晶,即得白色针状环氯素。
❸岛青霉菌丝体或培养物,用苯提取,经CaHPO
4柱,以己烷-丙酮(1:1,V/V)展开,可得橙红色结晶即为红天精。测定岛青霉毒素的方法主要为薄层层析法,在含草酸的硅胶G薄层板上,滴加样液,用己烷-丙酮-水(5:5:3.5)展开,于长紫外光下黄天精呈黄色荧光,Rf值为0.5。在硅胶G薄层板上滴加样液,用己烷-丙酮-水(4:1:4)展开,再用2NH
2SO
4喷雾,加热至100℃10min,含氯肽呈褐色斑点,Rf值为0.70。